2026
Lukyanenko, S. Yu.; Nosyk, D. A.; Granat, D. S.; Kozytskyi, A. V.; Yurchenko, O. O.; Pokholenko, O.; Dobrydnev, A. V.; Grygorenko, O. O. Synthesis and structural characterization of 3,6-disubstituted bicyclo[3.2.0]heptane building blocks: promising saturated bicyclic isosteres of cycloalkanes/benzene. Eur. J. Org. Chem. 2026, 29(11), e70334. DOI: 10.1002/ejoc.70334. Preprint: 10.26434/chemrxiv-2025-zhhxk.
Verner, E. V.; Subotin, V. V.; Vashchenko, B.; Grygorenko, O. O.; Ryabukhin, S. V.; Volochnyuk, D. M.; Kolotilov, S. Catalytic hydrogenation of conjugated dienes with different reactivities using a Pd/C nanophase catalyst. SynOpen 2026, 10(1): 87–91. DOI: 10.1055/a-2813-7773.
Shevchuk, O. I.; Vashchenko, B. V.; Doroshenko, I. O.; Stepannikova, K. O.; Hys, V. Yu.; Karpenko, O. V.; Kozachenko, O. P.; Cherepakha, A. Yu.; Kozytskyi, A.; Tolmachova, K. A.; Zhersh, S.; Tolmachov, A. O.; Grygorenko, O. O. Stability of Heteroaromatic Sulfonyl Chlorides and Fluorides. Chem. Eur. J. 2026, in press. DOI: 10.1002/chem.70739 (Featured by a Cover Picture). Preprint: 10.26434/chemrxiv-2025-p0mgm.
Yakubovskyi, V.; Semoshkina, O.; Melnykov, K.; Grygorenko, O. O.; Liashuk, O. S. Synthesis of multifunctional 2,3-dihydroquinolin-4(1H)-one building blocks via permanganate-promoted oxidation of 1,2,3,4-tetrahydroquinolines. ChemistrySelect 2026, 11(6), e07236. DOI:10.1002/slct.202507236. Preprint: 10.26434/chemrxiv-2025-z7qkm. Raw data: 10.5281/zenodo.17578697.
Timokhin, O. S.; Hys, V. V.; Kucher, O. V.; Kozytskyi, A. V.; Yizhak, R. V.; Brovarets, V. S.; Grygorenko, O. O.; Moskvina, V. S. From flavones to flavanols: an enzymatic kinetic resolution approach to enantioenriched 2-(het)arylchroman-4-ols. Tetrahedron 2026, 194, 135174. DOI:10.1016/j.tet.2026.135174. Preprint: 10.2139/ssrn.5912933.
Klyukovskyi, D.; Liashuk, O. S.; Redka, M.; Bezuhla, A. T.; Blahun, O. P.; Lesyk, D.; Borysko, P.; Chernykh, A. V.; Pustovit, Y. M.; Grygorenko, O. O. Synthesis, physicochemical properties, and computational analysis of tris(fluoromethyl)alkyl building blocks. Chem. Eur. J. 2026, in press. DOI:10.1002/chem.70736. Preprint: 10.26434/chemrxiv-2025-v24r.
Gavrylenko, O. V.; Vashchenko, B. V.; Naumchyk, V.; Sosunovych, B. S.; Chuk, O.; Hrabovskyi, O.; Kuchuk, O.; Pogribna, A.; Nikitin, S. O.; Konovets, A. I.; Brovarets, V. S.; Zozulya, S. A.; Radchenko, D. S.; Grygorenko, O. O.; Moroz, Y. S. Click chemistry-enabled parallel synthesis of N-acyl sulfonamides and their evaluation as carbonic anhydrase inhibitors. Molecules 2026, 31(2), 318. DOI: 10.3390/molecules31020318. Preprint: 10.26434/chemrxiv-2025-4f0wm.
Melnyk, Y.; Liashuk, O. S.; Horulya, O.; Kachkovskiy, O. D.; Grygorenko, O. O. Deoxyfluorination of hydroxy-substituted boronates. ACS Org. Inorg. Au 2026, 6(1), 169–176. DOI: 10.1021/acsorginorgau.5c00112. Preprint: 10.26434/chemrxiv-2025-m36fb. Raw data: 10.5281/zenodo.17817179.
Galavskyy, S.; Chernykh, A. V.; Klymenko, D. S.; Liashuk, O. S.; Shishkina, S. V.; Lesyk, D.; Nosyk, P.; Makhankova, V.; Borysko, P.; Volochnyuk, D. M.; Ryabukhin, S. V.; Grygorenko, O. O. Multigram synthesis and physicochemical evaluation of (oxa)azaspiro[2.n]alkane building blocks. Org. Chem. Front. 2026, 13(4), 1106–1115. DOI: 10.1039/D5QO01505G (Featured by a Cover Picture). Preprint: 10.26434/chemrxiv-2025-07ss9. Raw data: 10.5281/zenodo.17494640.
Bondarenko, A. V.; Kozyriev, Y.; Doroshenko, I. O.; Lesyk, D.; Borysko, P.; Shishkina, S. V.; Vashchenko, B. V.; Grygorenko, O. O. Bicyclic 1,4-dioxepanes for drug discovery: multigram synthesis, physicochemical, and structural characterization. Chem. Eur. J. 2026, 32(8), e02928. DOI: 10.1002/chem.202502928. Preprint: 10.26434/chemrxiv-2025-cgg8d.
Redka, M. O.; Sherstiuk, O. A.; Hurieva, A.; Kondratov, I. S.; Liashuk, O. S.; Grygorenko, O. O. Multigram synthesis and physicochemical characterization of cis-β-CHF₂- and cis-β-CF₃-α-proline. J. Fluorine Chem. 2026, 286, 110524. DOI: 10.1016/j.jfluchem.2025.110524. Preprint: 10.26434/chemrxiv-2025-n6z61. Raw data: 10.5281/zenodo.17600870.
Bilenko, V. A.; Huliak, V.; Kinakh, S.; Inwood, R. A.; Stowe, T.; Maduli, E. J. M.; Broadbelt, B.; Crampton, R. H.; Griffen, E. J.; Matviiuk, T.; Komarov, I. V.; Grygorenko, O. O. Expedient synthesis of 1-oxo-1,2,3,4-tetrahydroisoquinoline-4-carboxylates. Eur. J. Org. Chem. 2025, 29(3), e202500842. DOI: 10.1002/ejoc.202500842.
Redka, M. O.; Dovhaniuk, N.; Blahun, O.; Liashuk, O. S.; Hurieva, A. M.; Lesyk, D.; Skrypnik, D.; Holota, Y.; Durylin, D.; Borysko, P.; Kondratov, I. S.; Grygorenko, O. O. Synthesis and physicochemical characterization of 5-trifluoromethyl-substituted tetrahydrofurans and tetrahydrothiophenes. Eur. J. Org. Chem. 2025, 29(3), e202501086. DOI: 10.1002/ejoc.202501086.
Govor, E. V.; Dymura, S.; Viniichuk, O.; Naumchyk, V.; Zhemera, A.; Radchenko, D. S.; Grygorenko, O. O. Generating multimillion chemical space based on the Ugi four-center three-component reaction with oxocarboxylic acids. Mol. Divers. 2026, in press. DOI: 10.1007/s11030-025-11410-4.
Gavrylenko, O. V.; Vashchenko, B. V.; Naumchyk, V.; Chuk, O.; Kuchuk, O.; Pogribna, A.; Konovets, A. I.; Brovarets, V. S.; Zozulya, S. A.; Radchenko, D. S.; Grygorenko, O. O.; Moroz, Y. S. Expanding chemical space of N-acyl sulfonamides for carbonic anhydrase inhibitor discovery. Eur. J. Med. Chem. 2026, 302, 118296. DOI: 10.1016/j.ejmech.2025.118296.
2025
Fang, H.; García-Camacho, A.; Hwang, H. S.; Sudsamart, A.; Daniliuc, C. G.; Grygorenko, O. O.; Funes-Ardoiz, I.; Molloy, J. J. Boron-enabled stereoselective synthesis of polysubstituted housanes. J. Am. Chem. Soc. 2025, 147(51), 47730–47741. DOI: 10.1021/jacs.5c17624. Preprint: 10.26434/chemrxiv-2025-cgg8d.
Redka, M. O.; Liashuk, O. S.; Kondratov, I. S.; Grygorenko, O. O. Practical сhiral separation of β-СF₃-α-proline. Ukr. Bioorg. Acta 2025, 20(2), 35–39. DOI: 10.15407/bioorganica2025.02.035.
Gavrylenko, O. V.; Sosunovych, B. S.; Vashchenko, B. V.; Grygorenko, O. O. Synthesis of N-acyl sulfonamides: from common acylation reactions to modern catalytic and sustainable methods. Ukr. Bioorg. Acta 2025, 20(2), 13–23. DOI: 10.15407/bioorganica2025.02.013.
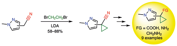
Nosyk, D. A.; Lukyanenko, S. Yu.; Granat, D. S.; Skrypnik, D.; Chigrinov, V.; Liashuk, O. S.; Shishkina, S. V.; Savchenko, T.; Yurchenko, O. O.; Grygorenko O. O. Eur. J. Org. Chem. 2025, 28 (47), e202500970. DOI: 10.1002/ejoc.202500970. Preprint: 10.26434/chemrxiv-2025-zb9zz. Highlighted in Synfacts 2026, 22(02), 115. DOI: 10.1055/a-2746-6343.
Voloshyna, O.; Moroz, B.; Melnykov, K. P.; Holovach, S.; Lesyk, D.; Holota, Y.; Borysko, P.; Filatov, A. A.; Grygorenko, O. O. Gram-scale synthesis and physicochemical properties of exo– and endo-5,5-difluorooctahydropentalen-2-amines. J. Fluorine Chem. 2025, 287, 110484. DOI: 10.1016/j.jfluchem.2025.110484.
Komarov, I. V.; Hurieva, A. M.; Davydov, V. I.; Ishchenko, A. Yu.; Grygorenko, O. O. Organocatalysts as enzyme mimetics: a review. Theor. Exp. Chem. 2025, 61, 1–26. DOI: 10.1007/s11237-025-09848-6.
Liashuk, O. S.; Moroz, B.; Melnykov, K. P.; Holovach, S.; Lesyk, D.; Lesyk, Y.; Skrypnik, D.; Holota, Y.; Borysko, P.; Filatov, A. A.; Grygorenko, O. O. Basicity and lipophilicity of gem-difluorinated saturated bicyclic amines: advanced building blocks for drug discovery. Eur. J. Org. Chem. 2025, 28(40), e202500728. DOI: 10.1002/ejoc.202500728 (Featured by a Cover Picture).
Olifir, O. S.; Lenda, P. R.; Chernykh, A. V.; Klymenko, D. S.; Liashuk, O. S.; Shishkina, S. V.; Kondratov, S. V.; Grygorenko, O. O. Synthesis and physicochemical characterization of 6-trifluoromethyl spiro[3.3]heptane building blocks. Eur. J. Org. Chem. 2025, 28(35), e202500587. DOI: 10.1002/ejoc.202500587.
Kleban, I.; Semonchuk, Y.; Liashuk, O. S.; Hurieva, A. M.; Rassukana, Y. V.; Grygorenko, O. O. Multigram copper-catalyzed borylation of functionalized terminal alkynes with B₂Pin₂. Eur. J. Org. Chem. 2025, in press. DOI: 10.1002/ejoc.202500696.
Borodin, I. O.; Zaika, Y. O.; Brovarets, V. S.; Doroshenko, I. O.; Grygorenko, O. O.; Vashchenko, B. V. Scope and limitations of the use of partially unsaturated sultams as dienophiles and dienes in [4+2] Diels-Alder reaction. Ukr. Bioorg. Acta 2025, 20(1), 3–9. DOI: 10.15407/bioorganica2025.01.003.
Dymura, S. A.; Viniichuk, O. O.; Melnykov, K. P.; Radchenko, D. S.; Grygorenko, O. O. Machine learning-based retention time prediction tool for routine LC-MS data analysis. J. Chem. Inf. Model. 2025, 65(14), 7415–7425. DOI: 10.1021/acs.jcim.5c00514.
Litskan, E. V.; Lynnyk, S. V.; Shypov, R. H.; Vashchenko, B. V.; Hoida, A. Ye.; Klymenko-Ulianov, O. O.; Gorlova, A. O.; Granat, D. S.; Grygorenko, O. O.; Volochnyuk, D. M.; Ryabukhin, S. V. Fine-tuning of physicochemical properties of 3,3-disubstituted oxetanes introducing fluorine atom(s) on the building blocks level. Chem. Eur. J. 2025, 31(51), e00940. DOI: 10.1002/chem.202500940.
Chernykh, A. V.; Liashuk, O. S.; Kononenko, K. O.; Michuda, A. Y.; Olifir, O. S.; Lesyk, D.; Turenko, K.; Kozytskyi, A. V.; Shishkina, S. V.; Borysko, P.; Ryabukhin, S. V.; Volochnyuk, D. M.; Grygorenko, O. O. Synthesis and physicochemical properties of functionalized cis‑2-((fluoro)alkyl)cyclobutanes. ChemPlusChem 2025, 90(9), e202500150. DOI: 10.1002/cplu.202500150.
Litskan, E. V.; Semenchenko, O. V.; Lynnyk, S. V.; Granat, D. S.; Vashchenko, B. V.; Hoida, A. Ye.; Tolmachova, D. A.; Leha, D. O.; Grygorenko, O. O.; Volochnyuk, D. M.; Ryabukhin, S. V. Oxetane as a part of modern medicinal chemistry toolbox: the advanced synthesis of 3,3-disubstituted building blocks. Org. Chem. Front. 2025, 12(13), 3775–3785. DOI: 10.1039/D5QO00572H.
Zaika, Y. O.; Borodin, I. O.; Olekh, H. O.; Kovalov, M. V.; Diachenko, O. D.; Brovarets, V. S.; Vashchenko, B. V.; Grygorenko, O. O. Bridged bicyclic sultams by intramolecular flow photochemical [2 + 2] cycloaddition. Org. Lett. 2025, 27(12), 2858–2862. DOI: 10.1021/acs.orglett.5c00314.
Zaika, Y. O.; Vashchenko, B. V.; Sosunovych, B. S.; Khutorianskyi, A. V.; Yasman, P.; Ogurok, V. M.; Brovarets, V. S.; Grygorenko, O. O. [3 + 2] cycloadditions of α,β-unsaturated sultams. Eur. J. Org. Chem. 2025, 28(18), e202500093. DOI: 10.1002/ejoc.202500093.
Chernykh, A. V.; Liashuk, O. S.; Hurieva, A. M.; Lesyk, D.; Holota, Y.; Borysko, P.; Shishkina, S. V.; Volochnyuk, D. M.; Grygorenko, O. O. Fluorine-containing 6-azabicyclo[3.1.1]heptanes: bicyclic piperidine analogs for drug discovery. Eur. J. Org. Chem. 2025, 28(17), e202500022. DOI: 10.1002/ejoc.202500022.
Gurbych, O.; Pavliuk, P.; Krasnienkov, D.; Liashuk, O.; Melnykov, K.; Grygorenko, O. O. Filling the gap in LogP and pKa evaluation for saturated fluorine-containing derivatives with machine learning. J. Comput. Chem. 2025, 46(2), e70002. DOI: 10.1002/jcc.70002. 10.1002/jcc.70002.
Yurov, Y.; Laniush, K.; Hryshchuk, O. V.; Liashuk, O. S.; Grygorenko, O. O. Copper-mediated C–C coupling of alkenyl boronates and bromodifluoroacetates. Adv. Synth. Cat. 2025, 367(7), e202401489. DOI: 10.1002/adsc.202401489.
Timokhin, O. S.; Romanova, A. M.; Moskvina, V. S.; Kucher, O. V.; Boiko, A. I.; Banasevych, A. L.; Durylin, D.; Brovarets, V. S.; Grygorenko, O. O. Synthesis of enantioenriched 2-((hetera)cyclo)alkylchromanols and their spirocyclic analogs through enzymatic resolution. Eur. J. Org. Chem. 2025, 28(8), e202401247. DOI: 10.1002/ejoc.202401247.
Lysenko, V.; Portiankin, A.; Shyshlyk, O.; Savchenko, T.; Nazarenko, K.; Kostyuk, A.; Golovchenko, O. V.; Brovarets, V. S.; Grygorenko, O. O. Multigram synthesis of 3-azabicyclo[3.1.1]heptane derivatives including bicyclic thalidomide analogs. Eur. J. Org. Chem. 2025, 28 (17), e202400938. DOI: 10.1002/ejoc.202400938.
Melnykov, K. P.; Liashuk, O. S.; Smyrnov, O.; Lesyk, D.; Holota, Y.; Borysko, P.; Yakubovskyi, V.; Grygorenko, O. O. Lipophilicity effects of monofluorination at the tertiary aliphatic carbon as a function of α-substituent. J. Fluorine Chem. 2025, 281, 110384. DOI: 10.1016/j.jfluchem.2024.110384.
Melnykov, K. P.; Liashuk, O. S.; Holovach, S.; Shatnia, V.; Horbenko, A.; Lesyk, D.; Melnyk, V.; Skrypnik, D.; Beshtynarska, A.; Borysko, P.; Viniichuk, O.; Grygorenko, O. O. Physicochemical and biological evaluation of gem-difluorinated saturated oxygen heterocycles as bioisosteres for drug discovery. Chem. Eur. J. 2025, 31(10), e202404390. DOI: 10.1002/chem.202404390.
2024
Galavskyy, S.; Chernykh, A.; Liashuk, O.; Lesyk, D.; Shishkina, S. V.; Kliukovskyi, D.; Volochnyuk, D. M.; Ryabukhin, S. V.; Grygorenko, O. O. 4-Azaspiro[2.3]hexane, an overlooked piperidine isostere: multigram synthesis and physicochemical and structural evaluation. J. Org. Chem. 2024, 89(24), 18477–18486. DOI: 10.1021/acs.joc.4c02390.
Liashuk, O. S.; Fedinchyk, A.; Melnykov, K. P.; Herasymchuk, M.; Alieksieieva, D.; Lesyk, D.; Bas, Y. P.; Keda, T. Y.; Yatsymyrskiy, A. V.; Holota, Y.; Borysko, P.; Yarmolchuk, V. S.; Grygorenko, O. O. 3,3-Difluorooxetane – a versatile functional group for bioisosteric replacements in drug discovery. Chem. Eur. J. 2024, 30(72), e202403277. DOI: 10.1002/chem.202403277.
Chernykh, A. V.; Liashuk, O. S.; Hurieva, A. M.; Volochnyuk, D. M.; Grygorenko, O. O. Multigram synthesis of 2-azabicyclo[2.1.1]hexane-1-carboxylates (2,4-methanoprolines) – promising bicyclic proline analogs. J. Org. Pharm. Chem. 2024, 22(3), 24–37. DOI: 10.24959/ophcj.24.314843.
Moroz, B. L.; Holovach, S. M.; Melnykov, K. P.; Lesyk, D. S.; Filatov, A. A.; Grygorenko, O. O. Synthesis and physicochemical characteristics of 6,6-difluorobicyclo[3.2.0]heptane derivatives. J. Org. Pharm. Chem. 2024, 22(3), 3–9. DOI: 10.24959/ophcj.24.314176.
Мельников, К.; Підвишенний, О.; Смирнов, О.; Григоренко, О. Флуоровані сульфоксіміни жирноароматичного ряду: масштабований синтез і вплив структурних елементів на ліпофільність. Вісник Київського національного університету імені Тараса Шевченка. Хімія 2024, 59(1), 5–9. DOI: 10.17721/1728-2209.2024.1(59).
Stadnichenko, V. O.; Yakymchuk, O. V.; Borysko, P. O.; Tolstanova, G. M.; Shyshlyk, O. S.; Grygorenko, O. O. Investigation of the phenyl dihydrouracil molecules as CRBN ligands for the PROTAC development. Biopolym. Cell 2024, 40(3), 241. DOI: 10.7124/bc.000AF1.
Malashchuk, A.; Chernykh, A. V.; Liashuk, O. S.; Hurbanov, R.; Lomaka, M.; Tkachuk, H.; Granat, D.; Grygorenko, O. O. Spiro[2.3]hexane- and spiro[3.3]heptane-derived α-amino acids: synthesis and isoelectric point evaluation. ChemistrySelect 2024, 9(31), e202402108. DOI: 10.1002/slct.202402108.
Aleksandrenko, S.; Dobrydnev, A. V.; Zhersh, S.; Grygorenko, O. O. Saturated heterocyclic sulfamoyl fluorides: building blocks for the SuFEx chemistry. Eur. J. Org. Chem. 2024, 27(42), e202400611. DOI: 10.1002/ejoc.202400611.
Grygorenko, O. O.; Melnykov, K. P. Fluorinated building blocks in drug design: new pathways and targets. Future Med. Chem. 2024, 16(14), 1375–1378. DOI: 10.1080/17568919.2024.2379229.
Generation of multimillion chemical space based on the parallel Groebke–Blackburn–Bienaymé reaction Govor, E. V.; Naumchyk, V.; Nestorak, I.; Radchenko, D. S.; Dudenko, D.; Moroz, Y. S.; Kachkovsky, O. D.; Grygorenko, O. O. Beilstein J. Org. Chem. 2024, 20, 1604–1613. DOI: 10.3762/bjoc.20.143.
Chernykh, A. V.; Vashchenko, B. V.; Shishkina, S. V.; Volochnyuk, D. M.; Grygorenko, O. O. 3-Substituted 6-azabicyclo[3.1.1]heptanes: nonclassical piperidine isosteres for drug discovery. J. Org. Chem. 2024, 89(15), 10440–10450. DOI: 10.1021/acs.joc.4c00326.
Pidvyshennyi, O.; Melnykov, K. P.; Liashuk, O.; Lesyk, D.; Holota, Y.; Borysko, P.; Grygorenko, O. O. Acidity of saturated (hetero)cyclic α-fluoro carboxylic acids and lipophilicity of their amide derivatives. J. Fluorine Chem. 2024, 278, 110316. DOI: 10.1016/j.jfluchem.2024.110316.
Pahl, A.; Grygorenko, O. O.; Kondratov, I. S.; Waldmann, H. Identification of readily available pseudo-natural products. RSC Med. Chem. 2024, 15, 2709–2717. DOI: 10.1039/D4MD00310A.
Marych, D.; Bilenko, V.; Ilchuk, Y. V.; Kinakh, S.; Soloviov, V.; Yatsymyrskiy, A.; Liashuk, O.; Shishkina, S.; Komarov, I. V.; Grygorenko, O. O. Synthesis and physicochemical evaluation of tetrafluorinated GABA analogue. J. Fluorine Chem. 2024, 277, 110307. DOI: 10.1016/j.jfluchem.2024.110307.
Dubina, T. F.; Kosarevych, A. V.; Kucher, O. V.; Sosunovych, B. S.; Smolii, O. B.; Vashchenko, B. V.; Grygorenko, O. O. Synthesis and reactions of novel imidazo[4,5-b]pyridine building blocks. Chem. Heterocycl. Compds 2024, 60(3/4), 175–182. DOI: 10.1007/s10593-024-03315-1.
Sosunovych, B. S.; Timokhin, O. S.; Kucher, O. V.; Demianyk, N. Y.; Hys, D. V.; Zvarych, Y. A.; Smolii, O. B.; Vashchenko, B. V.; Grygorenko, O. O. Synthesis and enzymatic resolution of novel analogs of alicyclic and heterocyclic mandelic acid derivatives. Tetrahedron 2024, 161, 134068. DOI: 10.1016/j.tet.2024.134068.
Malashchuk, A.; Demchuk, O. P.; Razhik, B. V.; Holumbievskyi, V. O.; Kudryk, O. V.; Chernykh, A. V.; Hryshchuk, O. V.; Sosunovych, B. S.; Volochnyuk, D. M.; Vashchenko, B. V.; Grygorenko, O. O. 2- and 3-Fluorocyclobutane building blocks for organic and medicinal chemistry. Eur. J. Org. Chem. 2024, 27(32), e202400493. DOI: 10.1002/ejoc.202400493.
Holovach, S.; Poroshyn, I.; Melnykov, K. P.; Liashuk, O. L.; Pariiska, O. O.; Kolotilov, S. V.; Rozhenko, A. B.; Volochnyuk, D. M.; Grygorenko, O. O. Parallel Minisci reaction of gem-difluorocycloalkyl building blocks. ACS Org. Inorg. Au 2024, 4(4), 424–431. DOI: 10.1021/acs.oprd.3c00454.
Liashuk, O. S.; Demchuk, O. P.; Hryshchuk, O. V.; Grygorenko, O. O. 2,5-Dihydro-1H-pyrrol-3-yl boronic derivatives: multigram synthesis and coupling reactions. Org. Process Res. Dev. 2024, 28(4), 1061–1069. DOI: 10.1021/acs.oprd.3c00454 (Featured by Cover Picture).
Slobodyanyuk, E.; Tarasiuk, I.; Pasichnyk, T.; Volochnyuk, D.; Sibgatulin, D.; Grygorenko, O. O. (Diazomethyl)dimethylphosphine oxide – a diazoalkane reagent for [3+2] cycloadditions. Chem. Eur. J. 2024, 30 (23), e202303972. DOI: 10.1002/chem.202303972 (Featured by Cover Picture).
Naumchyk, V.; Andriashvili, V. A.; Radchenko, D. S.; Dudenko, D.; Moroz, Y. S.; Tolmachev, A. A.; Zhersh, S.; Grygorenko, O. O. SNAr or sulfonylation? Chemoselective amination of halo(het)arene sulfonyl halides for synthetic applications and ultralarge compound library design. J. Org. Chem. 2024, 89 (5), 3161–3183. DOI: 10.1021/acs.joc.3c02636.
Krokhmaliuk, Y.; Kleban, I.; Rassukana, Y. V.; Grygorenko, O. O. Organocatalytic decarboxylative borylation of cyclopropane N-hydroxyphthalimide esters. J. Org. Chem. 2024, 89(4), 2771–2776. DOI: 10.1021/acs.joc.3c02247.
Grygorenko, O. O.; Lampeka, R. D.; Chebanov, V. A.; Kovalenko, M. V.; Wuttke, S. Chemistry in Ukraine. Chem. Rec. 2024, 24 (2), e202400008. DOI: 10.1002/tcr.202400008 (Featured by Cover Picture).
Semeno, V. V.; Vasylchenko, V. O.; Fesun, I. M.; Ruzhylo, L. Yu.; Kipriianov, M. O.; Melnykov, K. P.; Skreminskyi, A.; Iminov, R.; Mykhailiuk, P.; Vashchenko, B. V.; Grygorenko, O. O. Bicyclo[m.n.k]alkane building blocks as promising benzene and cycloalkane isosteres: multigram synthesis, physicochemical and structural characterization. Chem. Eur. J. 2024, 30 (12), e202303859. DOI: 10.1002/chem.202303859.
Liashuk, O. S., Ryzhov, I. A., Hryshchuk, O., Volovenko, Y. M., Grygorenko, O. O. [3+2] cycloaddition of alkynyl boronates and in situ generated azomethine ylide. Chem. Eur. J. 2024, 30 (11), e202303504. DOI: 10.1002/chem.202303504.
Kihakh, S.; Melnykov, K. P.; Bilenko, V.; Trofymchuk, S.; Liashuk, O. S.; Grygorenko, O. O. gem-Difluoro-3-azabicyclo[3.n.1]alkanes and their derivatives – bicyclic fluorinated piperidine isosteres for drug discovery. Eur. J. Org. Chem. 2024, 27 (2), e202300937. DOI: 10.1002/ejoc.202300937.
Smyrnov, O.; Melnykov, K. P.; Semeno, V.; Liashuk, O. S.; Grygorenko, O. O. α-CF3-Substituted saturated bicyclic amines: advanced building blocks for medicinal chemistry. Eur. J. Org. Chem. 2024, 27 (1), e202300935. DOI: 10.1002/ejoc.202300935 (Featured by Cover Picture).
Komarov, I. V.; Bugrov, V. A.; Cherednichenko, A.; Grygorenko, O. O. Insights into modeling approaches in chemistry: assessing ligand-protein binding thermodynamics based on rigid-flexible model molecules. Chem. Rec. 2024, 24 (2), e202300276. DOI: 10.1002/tcr.202300276.
Liashuk, O. S.; Andriashvili, V. A.; Tolmachev, A. O; Grygorenko, O. O. Chemoselective reactions of functionalized sulfonyl halides. Chem. Rec. 2024, 24 (2), e202300256. DOI: 10.1002/tcr.202300256.
Sosunovych, B.; Vashchenko, B. V.; Andriashvili, V. A.; Grygorenko, O. O. Bypassing sulfonyl halides: synthesis of sulfonamides from other sulfur-containing building blocks. Chem. Rec. 2024, 24 (2), e202300258. DOI: 10.1002/tcr.202300258.
2023
Omelian, T. V.; Ostapchuk, E. N.; Dobrydnev, A. V.; Grygorenko, O. O. Expedient synthesis of 6-functionalized azabicyclo[4.1.0]heptane derivatives. ChemistrySelect 2023, 8, e202304331. DOI: 10.1002/slct.202304331.
Анхім, М. О.; Андріашвілі, В. А.; Жерш, С. А.; Толмачов, А. О.; Григоренко, О. О. Синтез насичених нітрогеновмісних гетероциклічних сульфінатів. Допов. Нац. Акад. Наук Укр. 2023 (5), 26–36. DOI: 10.15407/dopovidi2023.05.026.
Moroz, B.; Melnykov, K. P.; Holovach, S.; Filatov, A. A.; Raievskyi, O.; Platonov, M.; Liashuk, O.; Volochnyuk, D. M.; Grygorenko, O. O. 6,6-Difluorobicyclo[3.1.0]hexane as a rigidified 4,4-difluorocyclohexane mimetic: multigram synthesis, physicochemical characterization, and incorporation into Maraviroc analogs. J. Fluorine Chem. 2023, 272, 110215. DOI: 10.1016/j.jfluchem.2023.110215.
Holovach, S. M.; Melnykov, K. P.; Poluektova, M. S.; Rozhenko, O. B.; Grygorenko, O. O. Incorporation of gem-difluorocycloalkyl substituents into heterocycles via the Levin’s “nitrogen deletion” strategy. J. Org. Pharm. Chem. 2023, 21(3), 11–16. DOI: 10.24959/ophcj.23.278321.
Malets, Y. S.; Vashchenko, B. V.; Moskvina, V. S.; Golovchenko, O. V.; Brovarets, V. S.; Grygorenko, O. O. Parent 5(7)-azachromones and their partially hydrogenated derivatives: synthesis and physicochemical properties. Chem. Heterocycl. Compds 2023, 59, 494-499. DOI: 10.1007/s10593-023-03221-y.
Verner, E. V.; Vashchenko, B. V.; Sosunovych, B. V.; Frolov, A. I.; Subotin, V. V.; Kozytskiy, A.; Grygorenko, O. O.; Ryabukhin, S. V.; Volochnyuk, D. M.; Kolotilov, S. V. Novel approach to saturated amino acid derivatives with isolated (hetero)cyclic rings via the hydrogenation of dienes. Chem. Heterocycl. Compds 2023, 59, 442–448. DOI: 10.1007/s10593-023-03214-x.
Grygorenko, O. O. Thematic issue “Ukrainian impact on heterocyclic chemistry after the three decades of independence”. Chem. Heterocycl. Compds 2023, 59, 331. DOI: 10.1007/s10593-023-03202-1.
Nosik, P. S.; Mykhalchuk, Y. V.; Liashuk, O. S.; Kysil, A. I.; Grygorenko, O. O. Two-step synthesis of trisubstituted trifluoromethyl cyclopropanes using in situ generated CF3CHN2. ChemistrySelect 2023, 8, e202302143. DOI: 10.1002/slct.202302143.
Liashuk, O. S.; Grygorenko, O. O.; Volovenko, Y. M.; Waser, J. Photochemical [2+2] cycloaddition of alkynyl boronates. Chem. Eur. J. 2023, 29, e202301650. DOI: 10.1002/chem.202301650.
Melnykov, K. P.; Nazar, K.; Smyrnov, O.; Skreminskyi, A.; Pavlenko, S.; Klymenko-Ulianov, O.; Shishkina, S.; Volochnyuk, D. M.; Grygorenko, O. O. Mono- and difluorinated saturated heterocyclic amines for drug discovery: systematic study of their physicochemical properties. Chem. Eur. J. 2023, 29, e202301383. DOI: 10.1002/chem.202301383.
Sierov, D. I.; Dzhulai, I. V.; Siryk, K. I.; Shvydenko, K. V.; Shvydenko, T. I.; Nazarenko, K.; Kostyuk, A.; Liashuk, O. S.; Grygorenko, O. O. Multigram synthesis of α- and γ-((hetera)cyclo)alkylpyridines via α-arylation of (hetero)aliphatic nitriles. Eur. J. Org. Chem. 2023, 26, e202300538. DOI: 10.1002/ejoc.202300538 (Featured by Cover Picture).
Chernykh, A. V.; Kudryk, O. V.; Olifir, O. S.; Dobrydnev, A. V.; Rusanov, E.; Moskvina, V. S.; Volochnyuk, D. M.; Grygorenko, O. O. Expanding the chemical space of 1,2-difunctionalized cyclobutanes. J. Org. Chem. 2023, 88, 3109–3131. DOI: 10.1021/acs.joc.2c02892.
Demchuk, O. P.; Grygorenko, O. O. The synthesis and acid-base properties of α-(fluoromethyl)- and α-(difluoromethyl)-substituted cyclobutane building blocks. J. Org. Pharm. Chem. 2023, 21 (2), 3–9. DOI: 10.24959/ophcj.23.274017.
Bondarenko, A. V.; Kozyriev, Y. K.; Vashchenko , B. V.; Grygorenko, O. O. Synthesis of 2,2-disubstituted and 2,2,3-trisubstituted 1,4-dioxane-derived building blocks. Synthesis 2023, 55, 3402–3414. DOI: 10.1055/a-2092-9205.
Chalyk, B. A.; Izhyk, V. V.; Danyleiko, K.; Sosunovych, B.; Vashchenko, B. V.; Zginnyk, O.; Olshanska, V.; Teodorovic, P.; Biitseva, A. V.; Volochnyuk, D. M.; Grygorenko, O. O. Synthesis of spirocyclic and fused isoxazoline building blocks. Eur. J. Org. Chem. 2023, e202300282. DOI: 10.1002/ejoc.202300282.
Demchuk, O. P.; Bobovskyi, B. V.; Vashchenko, B. V.; Hryshchuk, O. V.; Skreminskyi, A.; Chernykh, A. V.; Moskvina, V. S.; Hordiyenko, O. V.; Volochnyuk, D. M.; Grygorenko, O. O. 3-Fluoroalkyl (CF3, CHF2, CH2F) cyclobutane-derived building blocks for medicinal chemistry: synthesis and physicochemical properties. Eur. J. Org. Chem. 2023, e202300292. DOI: 10.1002/ejoc.202300292 (Featured by Cover Picture).
Subotin, V. V.; Vashchenko, B. V.; Asaula, V. M.; Verner, E. V.; Ivanytsya, M. O.; Shvets, O.; Ostapchuk, E. N.; Grygorenko, O. O.; Ryabukhin, S. V.; Volochnyuk, D. M.; Kolotilov, S. V. Screening of palladium/charcoal catalysts for hydrogenation of diene carboxylates with isolated-rings (hetero)aliphatic scaffold. Molecules 2023, 28, 1201. DOI: 10.3390/molecules28031201.
Kvasha, D. A.; Deviatkin, A.; Poturai, A. S.; Nosik, P. S.; Kyrylchuk, A. A.; Suikov, S.; Rozhenko, A. B.; Volochnyuk, D. M.; Grygorenko, O. O. Metal-free C–H difluoromethylation of imidazoles with the Ruppert–Prakash reagent. J. Org. Chem. 2023, 88, 163–171. DOI: 10.1021/acs.joc.2c02041.
Dovhaniuk, N.; Blahun, O. P.; Sosunovych, B.; Redka, M. O.; Vashchenko, B. V.; Grygorenko, O. O. Regioselective and scalable total synthesis of licochalcone C and related licoagrochalcones. Eur. J. Org. Chem. 2023, 26, e202201226. DOI: 10.1002/ejoc.202201226.
Holovach, S.; Melnykov, K. P.; Poroshyn, I.; Iminov, R. T.; Dudenko, D.; Kondratov, I. S.; Levin, M.; Grygorenko, O. O. C–C coupling through Nitrogen deletion: application to library synthesis. Chem. Eur. J. 2023, 29, e202203470. DOI: 10.1002/chem.202203470. (Featured by Cover Picture).
2022
Kondratov, I. S.; Moroz, Y. S.; Gorgulla, C.; Grygorenko, O. O.; Komarov, I. V.; Wagner, G.; Tolmachev, A. A. Challenges for chemistry in Ukraine after the war: Ukrainian science requires rebuilding and support. Proc. Natl. Acad. Sci. USA 2022, 119, e2210686119. DOI: 10.1073/pnas.2210686119.
Yarish, D.; Garkot, S.; Grygorenko, O. O.; Radchenko, D. S.; Moroz, Y. S.; Gurbych, O. Advancing molecular graphs with descriptors for the prediction of chemical reaction yields. J. Comput. Chem. 2022, 44, 76–92. DOI: 10.1002/jcc.27016.
Homon, A. A.; Shynder, L. V.; Demchuk, O. P.; Hryshchuk, O. V.; Kondratov, I. S.; Gerus, I. I.; Grygorenko, O. O. Synthesis of 1,3-bifunctional cyclobutane derivatives with α-CHF2/CF3 group – advanced building blocks for medicinal chemistry. J. Fluorine Chem. 2022, 263, 110041. DOI: 10.1016/j.jfluchem.2022.110041
Chernykh, A. V.; Aloshyn, D.; Kuchkovska, Yu. O.; Daniliuc, C. G.; Tolmachova, N. A.; Kondratov, I. S.; Zozulya, S.; Grygorenko, O. O.; Haufe, G. Impact of β-perfluoroalkyl substitution of proline on the proteolytic stability of its peptide derivatives. Org. Biomol. Chem. 2022, 20, 9337–9350. DOI: 10.1039/D2OB01430K.
Grygorenko, O. O.; Melnykov, K. P.; Holovach, S.; Demchuk, O. Fluorinated cycloalkyl building blocks for drug discovery. ChemMedChem 2022, 17, e202200365. DOI: 10.1002/cmdc.202200365.
Homon, A. A.; Shynder, L.; Hryshchuk, O. V.; Grygorenko, O. O.; Kondratov, I. S. Synthesis of novel α-trifluoromethyl cyclobutane-containing building blocks. Ukr. Bioorg. Acta 2022, 17, 82–86. DOI: 10.15407/bioorganica2022.01.082.
Vashchenko, B. V.; Grygorenko, O. O.; Stepaniuk, O. O. Heterocyclizations of β-alkoxy, β-diaminoalkyl, and related β-functionalized enones (enals) with NCN binucleophiles. Ukr. Bioorg. Acta 2022, 17, 56–72. DOI: 10.15407/bioorganica2022.01.056.
Liashuk, O. S.; Ryzhov, I. A.; Hryshchuk, O. V.; Vashchenko, B. V.; Melnychuk, P. V.; Volovenko, Y. M.; Grygorenko, O. O. Synthesis of 3-borylated pyrrolidines by 1,3-dipolar cycloaddition of alkenyl boronates and azomethine ylide. Chem. Eur. J. 2022, e202202117. DOI: 10.1002/chem.202202117 (Featured by Cover Picture).
Melnykov, K. P.; Voloshyna, O. V.; Vashchenko, B. V.; Demchuk, O. P.; Hryshchuk, O. V.; Grygorenko, O. O. 4,4-Difluorospiro[2.2]pentan-1-yl – a fluorinated substituent to expand the synthetic and medicinal chemists’ toolbox. Eur. J. Org. Chem. 2022, e202200863. DOI: 10.1002/ejoc.202200863 (Featured by Cover Picture).
Melnykov, K. P.; Tavlui, O.; Skreminskiy, A.; Kuchkovska, Y. O.; Grygorenko, O. O. Impact of fluoroalkyl substituents on physicochemical properties of saturated heterocyclic amines. Chem. Eur. J. 2022, e202201601. DOI: 10.1002/chem.202201601.
Kondratov, I. S.; Moroz, Y. S.; Grygorenko, O. O.; Tolmachev, A. A. The Ukrainian factor in early-stage drug discovery in the context of russian invasion: the case of Enamine Ltd. ACS Med. Chem. Lett. 2022, 13, 992–996. DOI: 10.1021/acsmedchemlett.2c00211.
Andriashvili, V. A.; Zhersh, S.; Tolmachev, A. A.; Grygorenko, O. O. Synthesis of α-C-stereochemically pure secondary sulfonamides. J. Org. Chem. 2022, 87, 6237–6246. DOI: 10.1021/acs.joc.2c00480 (Featured by Cover Picture).
Chernykh, A. V.; Chernykh, A. V.; Radchenko, D. S.; Chheda, P. R.; Rusanov, E. B.; Grygorenko, O. O.; Spies, M. A.; Volochnyuk, D. M.; Komarov, I. V. A stereochemical journey around spirocyclic glutamic acid analogs. Org. Biomol. Chem. 2022, 20, 3183–3200. DOI: 10.1039/D2OB00146B.
Khomenko, D. M.; Doroshchuk, R. O.; Ohorodnik, Yu. M.; Ivanova, H. V.; Zakharchenko, B. V.; Raspertova, I. V.; Vaschenko, O. V.; Dobrydnev, A. V.; Grygorenko, O. O.; Lampeka, R. D. Expanding the chemical space of 3(5)-functionalized 1,2,4-triazoles. Chem. Heterocycl. Compds 2022, 58, 116–128. DOI: 10.1007/s10593-022-03064-z.
Fedinchyk, A.; Herasymchuk, M.; Smirnov, O. V.; Melnykov, K. P.; Yarmoliuk, D. V.; Kyrylchuk, A. A.; Grygorenko, O. O. Fluorine-containing sp³-enriched building blocks for the multigram synthesis of fluorinated pyrazoles and pyrimidines with (hetero)aliphatic substituents. Eur. J. Org. Chem. 2022, e202200274. DOI: 10.1002/ejoc.202200274 (Featured by Cover Picture).
Holovach, S.; Melnykov, K. P.; Skreminskiy, A.; Herasymchuk, M.; Tavlui, O.; Aloshyn, D.; Borysko, P.; Rozhenko, A. B.; Ryabukhin, S. V.; Volochnyuk, D. M.; Grygorenko, O. O. Effect of gem-difluorination on the key physicochemical properties relevant to medicinal chemistry: the case of functionalized cycloalkanes. Chem. Eur. J. 2022, e202200331. DOI: 10.1002/chem.202200331 (Featured by Cover Picture).
Radchenko, O. B.; Radchenko, D. S.; Konovets, A. I.; Grygorenko, O. O. Water determination in aromatic sulfonyl chlorides using the Karl Fischer titration method: scope and limitations. ChemistrySelect 2022, 7, e202102749. DOI: 10.1002/slct.202102749.
Grygorenko, O. O.; Moskvina, V. S.; Kleban, I.; Hryshchyk, O. V. Synthesis of saturated and partially saturated heterocyclic boronic derivatives. Tetrahedron 2022, 104, 132605. DOI: 10.1016/j.tet.2021.132605.
Chalyk, B. A.; Khutorianskyi, A. V.; Vashchenko, B. V.; Danyleiko, K.; Grynyova, A.; Osipova, A. O.; Kozytskiy, A.; Syniuchenko, D.; Tsymbaliuk, A.; Gavrilenko, K. S.; Biitseva, A. V.; Volochnyuk, D. M.; Komarov, I. V.; Grygorenko, O. O. Reductive recyclization of sp3-enriched functionalized isoxazolines into hydroxy lactams. J. Org. Chem. 2022, 87, 1001–1018. DOI: 10.1021/acs.joc.1c02301 (Featured by Cover Picture).
Radchenko, D. S.; Naumchyk, V. S.; Dziuba, I.; Kyrylchuk, A. A.; Gubina, K. E.; Moroz, Y. S.; Grygorenko, O. O. One-pot parallel synthesis of 1,3,5-trisubstituted 1,2,4-triazoles. Mol. Divers. 2022, 26, 993–1004. DOI: 10.1007/s11030-021-10218-2.
2021
Grygorenko, O. O. Enamine Ltd.: the science and business of organic chemistry and beyond. Eur. J. Org. Chem. 2021, 6474–6477. DOI: 10.1002/ejoc.202101210. (Featured by Cover Picture).
Vaskevych, A. I.; Savinchuk, N. O.; Vaskevych, R. I.; Rusanov, E. B.; Grygorenko, O. O.; Vovk, M. V. The PIFA-initiated oxidative cyclization of 2-(3-butenyl)quinazolin-4(3H)-ones – an efficient approach to 1-(hydroxymethyl)-2,3-dihydropyrrolo[1,2-a]quinazolin-5(1H)-ones. Belstein J. Org. Chem. 2021, 17, 2787–2794. DOI: 10.3762/bjoc.17.189.
Volochnyuk, D. M.; Gorlova, A. O.; Grygorenko, O. O. Saturated boronic acids, boronates, and trifluoroborates: an update on their synthetic and medicinal chemistry. Chem. Eur. J. 2021, 27, 15277–15326. DOI: 10.1002/chem.202102108 (Featured by Cover Picture).
Grygorenko, O. O.; Volochnyuk, D. M.; Vashchenko, B. V. Emerging building blocks for medicinal chemistry: recent synthetic advances. Eur. J. Org. Chem. 2021, 6478–6510. DOI: 10.1002/ejoc.202100857 (Featured by Cover Picture)
Malashchuk, A.; Chernykh, A. V.; Dobrydnev, A. V.; Grygorenko, O. O. Fluorine-labelled spiro[3.3]heptane-derived building blocks: is single fluorine the best? Eur. J. Org. Chem. 2021, 4897–4910. DOI: 10.1002/ejoc.202100804 (Featured by Cover Picture).
Fedyk, A.; Slobodyanyuk, E. Y.; Stotska, O.; Vashchenko, B. V.; Volochnyuk, D.; Sibgatulin, D. A.; Tolmachev, A. A.; Grygorenko, O. O. Heteroaliphatic dimethylphosphine oxide building blocks: synthesis and physico-chemical properties. Eur. J. Org. Chem. 2021, 6598–6610. DOI: 10.1002/ejoc.202100581.
Homon, A. A.; Hryshchuk, O. V.; Mykhailenko, O. V.; Vashchenko, B. V.; Melnykov, K. P.; Michurin, O.; Daniliuk, C. G.; Gerus, I. I.; Kovtunenko, V. O.; Kondratov, I.; Grygorenko, O. O. 4‐(Di‐/trifluoromethyl)‐2‐heterabicyclo[2.1.1]hexanes: advanced fluorinated phenyl isosteres and proline analogues. Eur. J. Org. Chem. 2021, 6587–6597. DOI: 10.1002/ejoc.202100414.
Logvinenko, I. G.; Kondratov, I. S.; Dobrydnev, A. V.; Kozytskiy, A. V.; Grygorenko, O. O. Synthesis and reactions of ω-CF3O-substituted aliphatic sulfonyl chlorides. J. Fluorine Chem. 2021, 246, 109799. DOI: 10.1016/j.jfluchem.2021.109799.
Popov, I. O.; Popova, M. V.; Omelian, T. V.; Dobrydnev, A. V.; Konovalova, I. S.; Shishkina, S. V.; Grygorenko, O. O.; Volovenko, Yu. M. Reaction of dialkylaminosulfur trifluorides with β-keto sulfonamides and β-keto sulfones. ChemistrySelect 2021, 6, 3084–3088. DOI: 10.1002/slct.20210086.
Kharchenko, S. H.; Iampolska, A. D.; Radchenko, D. S.; Vashchenko, B. V.; Voitenko, Z. V.; Grygorenko, O. O. A diversity-oriented approach to large libraries of artificial macrocycles. Eur. J. Org. Chem. 2021, 2313–2330. DOI: 10.1002/ejoc.202100195 (Featured by Cover Picture).
Khomenko, D. M.; Doroshchuk, R. O.; Ivanova, H. V.; Zakharchenko, B. V.; Raspertova, I. V.; Vaschenko, O. V.; Shova, S.; Dobrydnev, A. V.; Moroz, Y. S.; Grygorenko, O. O.; Lampeka, R. D. Synthesis of α-substituted 2-(1H-1,2,4-triazol-3-yl)acetates and 5-amino-2,4-dihydro-3H-pyrazol-3-ones via the Pinner strategy. Tetrahedron Lett. 2021, 62, 152956. DOI: 10.1016/j.tetlet.2021.152956.
Malashchuk, A.; Chernykh, A. V.; Perebyinis, M. Y.; Komarov, I. V.; Grygorenko, O. O. Monoprotected diamines derived from 1,5-disubstituted (aza)spiro[2.3]hexane scaffolds. Eur. J. Org. Chem. 2021, 6577–6586. DOI: 10.1002/ejoc.202001614.
Herasymchuk, M.; Melnykov, K. P.; Yarmoliuk, D. V.; Serhiichuk, D.; Rotar, V.; Pukhovoi, T.; Kuchkovska, Yu. O.; Holovach, S.; Volochnyuk, D. M.; Ryabukhin, S. V.; Grygorenko, O. O. Last of the gem‐difluorocycloalkanes 2: synthesis of fluorinated cycloheptane building blocks. Eur. J. Org. Chem. 2021, 6568–6576. DOI: 10.1002/ejoc.202001530.
Gurbanov, R.; Sokolov, A.; Golovach, S.; Melnykov, K.; Dobrydnev, A. V.; Grygorenko, O. O. Synthesis of sp3-enriched β-fluoro sulfonyl chlorides. Synthesis 2021, 53, 1771–1784. DOI: 10.1055/s-0040-1706101.
Demchuk, O. P.; Hryshchuk, O. V.; Vashchenko, B. V.; Trofymchuk, S. A.; Melnykov, K. P.; Skreminskiy, A.; Volochnyuk, D. M.; Grygorenko, O. O. Fluoroalkyl-containing 1,2-disubstituted cyclobutanes: advanced building blocks for medicinal chemistry. Eur. J. Org. Chem. 2021, 87–95. DOI: 10.1002/ejoc.202001345 (Featured by a Cover Picture).
Kleban, I.; Krokhmaliuk, Ye.; Reut, S.; Shuvakin, S.; Pendyukh, V. V.; Khyzhan, O. I.; Yarmoliuk, D. S.; Tymtsunik, A.; Rassukana, Yu. V.; Grygorenko, O. O. Multigram synthesis of heterabicyclo[n.1.0]alkan-1-yl trifluoroborates. Eur. J. Org. Chem. 2021, 6551–6560. DOI: 10.1002/ejoc.202000977.
Olifir, O. S.; Chernykh, A. V.; Dobrydnev, A. V.; Grygorenko, O. O.; Moroz, Yu. S.; Voitenko, Z. V.; Radchenko, D. S. Multigram synthesis of advanced 6,6‐difluorospiro[3.3]heptane‐derived building blocks. Eur. J. Org. Chem. 2021, 6541–6550. DOI: 10.1002/ejoc.202000432.
Stepannikova, K. O.; Vashchenko, B. V.; Grygorenko, O. O.; Gorichko, M. V.; Cherepakha, A. Yu.; Moroz, Yu. S.; Volovenko, Yu. M.; Zhersh, S. Synthesis of spirocyclic β‐ and γ‐sultams by one‐pot reductive cyclization of cyanoalkylsulfonyl fluorides. Eur. J. Org. Chem. 2021, 6530–6540. DOI: 10.1002/ejoc.202000351.
2020
Yampolska H., Kharchenko S., Kozytskyi A., Kyrylchuk A., Voitenko Z., Grygorenko O. Synthesis of a 1,2,3-triazole-containing macrocycle based on the “click chemistry” reaction and analysis of its planar chirality using NMR and DFT calculations. Вісник Київського національного університету імені Тараса Шевченка. Хімія 2020, 57(1), С. 55–61. DOI: 10.17721/1728-2209.2020.1(57).14.
Феськов, І. О.; Кондратов, І. С.; Кучковська, Ю. О.; Наумчик, В. С.; Онопченко, О. В.; Григоренко, О. О. Синтез цис– та транс-3-(4-гідроксифеніл)циклобутанкарбонових кислот та дослідження їх похідних як лігандів рецептора GPR-40. Журн. Орг. Фарм. Хім. 2020, 18(4), 14–22. DOI: 10.24959/ophcj.20.210383.
Grygorenko, O. O.; Radchenko, D. S.; Dziuba, I.; Chuprina, A.; Gubina, K. E.; Moroz, Y. S. Generating multibillion chemical space of readily accessible screening compounds. iScience 2020, 23, 101681. DOI: 10.1016/j.isci.2020.101681.
Chernykh, A. V.; Olifir, O. S.; Kuchkovska, Yu. O.; Volochnyuk, D. M.; Yarmolchuk, V. S.; Grygorenko, O. O. Fluoroalkyl-substituted cyclopropane derivatives: synthesis and physicochemical properties. J. Org. Chem. 2020, 85, 12692–12702. DOI: 10.1021/acs.joc.0c01848 (Featured by a Cover Picture).
Кохан, С. О.; Тимцунік, А. В.; Москвіна, В. С.; Григоренко, О. О. Підхід до синтезу похідних α,α,α-тризаміщених алкілгідразинів з карбонових кислот. Допов. Нац. Акад. Наук Укр. 2020(7), 72–78. DOI: 10.15407/dopovidi2020.07.072.
Ivon, Ye. M.; Mazurenko, I. V.; Kuchkovska, Yu. O.; Voitenko, Z. V.; Grygorenko, O. O. Formyl MIDA boronate: a C1 building block enabling straightforward access to α-functionalized organoboron derivatives. Angew. Chem. Int. Ed. 2020, 18016–18022. DOI: 10.1002/anie.202007651.
Feskov, I. O.; Golub, B. O.; Vashchenko, B. V.; Levterov, V. V.; Kondratov, I. S.; Grygorenko, O. O.; Haufe, G. GABA analogues and related mono-/bifunctional building blocks derived from the fluorocyclobutane scaffold. Eur. J. Org. Chem. 2020, 4755–4767. DOI: 10.1002/ejoc.202000733.
Grygorenko, O. O.; Vashchenko, B. V.; Blahun, O. P.; Zhersh, S. Saturated bicyclic sultams. Eur. J. Org. Chem. 2020, 5787–5800. DOI: 10.1002/ejoc.202000603.
Grygorenko, O. O.; Moskvina, V. S.; Hryshchuk, O. V.; Tymtsunik, A. V. Cycloadditions of alkenylboronic derivatives. Synthesis 2020, 52, 2761–2780. DOI: 10.1055/s-0040-1707159.
Грищук, О. В.; Тимцунік, А. В.; Москвіна, В. С.; Григоренко, О. О. Перспективи введення арильних замісників у 1,3-функціоналізований циклобутановий цикл за реакціями С–С крос-сполучення трифлуороборатів. Допов. Нац. Акад. Наук Укр. 2020 (5), 61–69. DOI: 10.15407/dopovidi2020.05.061.
Kleban, I.; Radchenko, D. S.; Tymtsunik, A. V.; Shuvakin, S.; Konovets, A. I.; Rassukana, Yu.; Grygorenko, O. O. Cyclopropyl boronic derivatives in parallel synthesis of sp3-enriched compound libraries. Monatch. Chem. 2020, 151, 953–962. DOI: 10.1007/s00706-020-02619-0.
Hys, V. Y.; Shevchuk, O. I.; Vashchenko, B. V.; Karpenko, O. V.; Gorlova, A. O.; Grygorenko, O. O. Functionalization of 2-trifluoromethyl-1H-pyrrole: a convenient entry into advanced fluorinated building blocks including all isomeric 2-(trifluoromethyl)prolines. Eur. J. Org. Chem. 2020, 3896–3905. DOI: 10.1002/ejoc.202000519.
Blahun, O. P.; Melnychenko, H.; Kuchkovska, Yu. O.; Zhersh, S.; Tolmachev, A. A.; Grygorenko, O. O. Synthesis of functionalized bridged bicyclic sulfonamides with a bridgehead Nitrogen atom. Eur. J. Org. Chem. 2020, 3261–3269. DOI: 10.1002/ejoc.202000314.
Stepaniuk, O. O.; Vashchenko, B. V.; Matvienko, V. O.; Kondratov, I. S.; Tolmachev, A. A.; Grygorenko, O. O. Reactions of cyclic β-alkoxyvinyl α-keto esters with heteroaromatic NCC-binucleophiles. Chem. Heterocycl. Comp. 2020, 56, 377–385. DOI: 10.1007/s10593-020-02670-z.
Hryshchuk, O. V.; Varenyk, A. O.; Yurov, Ye.; Kuchkovska, Yu.; Tymtsunik, A. V.; Grygorenko, O. O. gem-Difluorocyclopropanation of alkenyl trifluoroborates with the CF3SiMe3–NaI system. Eur. J. Org. Chem. 2020, 2217–2224. DOI: 10.1002/ejoc.202000346.
Demchuk, O. P.; Hryshchuk, O. V.; Vashchenko, B. V.; Kozytskiy, A. V.; Tymtsunik, A. V.; Komarov, I. V.; Grygorenko, O. O. Photochemical [2 + 2] cycloaddition of alkenyl boronic derivatives: an entry into 3-azabicyclo[3.2.0]heptane scaffold. J. Org. Chem. 2020, 85, 5927–5940. DOI: 10.1021/acs.joc.0c00265.
Kokhan, S. O.; Valter, Y. B.; Tymtsunik, A. V.; Komarov, I. V.; Grygorenko, O. O. 3-Carboxy-/3-aminobicyclo[1.1.1]pentane-derived sulfonamides and sulfonyl fluorides – advanced bifunctional reagents for organic synthesis and drug discovery. Eur. J. Org. Chem. 2020, 2210–2216. DOI: 10.1002/ejoc.202000303.
Blahun, O. P.; Rozhenko, A. B.; Rusanov, E.; Zhersh, S.; Tolmachev, A. A.; Volochnyuk, D. M.; Grygorenko, O. O. Twisting and turning the sulfonamide bond: synthetic, quantum chemical and crystallographic study. J. Org. Chem. 2020, 85, 5288–5299. DOI: 10.1021/acs.joc.9b03394. (Featured by Cover Picture).
Stepaniuk, O. O.; Rudenko, T. V.; Vashchenko, B. V.; Matvienko, V. O.; Kondratov, I. S.; Tolmachev, A. A.; Grygorenko, O. O. Synthesis of fused pyridine carboxylates by reaction of β-alkoxyvinyl glyoxylates with amino heterocycles. Synthesis 2020, 52, 1915–1926. DOI: 10.1055/s-0039-1707987.
Malashchuk, A.; Chernykh, A. V.; Hurmach, V. V.; Platonov, M. P.; Onopchenko, O.; Zozulya, S.; Daniliuc, C. G.; Dobrydnev, A. V.; Kondratov, I. S.; Moroz, Yu. S.; Grygorenko, O. O. Synthesis, biological evaluation, and modeling studies of 1,3-disubstituted cyclobutane-containing analogs of combretastatin A4. J. Mol. Struct. 2020, 1210, 128025. DOI: 10.1016/j.molstruc.2020.128025.
Omelian, T. V.; Ostapchuk, E. N.; Dobrydnev, A. V.; Malets, Y. S.; Brovarets, V. S.; Grygorenko, O. O. Strategy for the synthesis of 2,2-disubstituted 8-azachromanones via Horner–Wadsworth–Emmons olefination. Chem. Heterocycl. Compd. 2020, 56, 213–218. DOI: 10.1007/s10593-020-02646-z.
Ivon, Ye. M.; Kuchkovska, Y. O.; Voitenko, Z. V.; Grygorenko. O. O. Aliphatic α-boryl-α-bromoketones: synthesis and reactivity. Eur. J. Org. Chem. 2020, 3367–3377. DOI: 10.1002/ejoc.202000078. (Featured by Cover Picture).
Grygorenko, O. O.; Hryshchuk, O. V. Cyclopropylation of heterocyclic cores using cyclopropylboronic derivatives. Chem. Heterocycl. Compds. 2020, 56, 39–41. DOI: 10.1007/s10593-020-02619-2.
Grygorenko, O. O. Synthesis of saturated nitrogen heterocycles by Strecker reaction – nucleophilic cyclization. Tetrahedron Lett. 2020, 61, 151645. DOI: 10.1016/j.tetlet.2020.151645.
Logvinenko, I. G.; Markushyna, Ye.; Kondratov, I. S.; Vashchenko, B. V.; Kliachyna, M.; Tokaryeva, Yu.; Pivnytska, V.; Grygorenko, O. O.; Haufe. G. J. Fluorine Chem. 2020, 231, 109461. DOI: 10.1016/j.jfluchem.2020.109461.
Bugera, M. Ya.; Tarasenko, K. V.; Kondratov, I. S.; Gerus, I. I.; Vashchenko, B. V.; Ivasyshyn, V. E.; Grygorenko, O. O. (Het)aryl difluoromethyl-substituted β-alkoxyenones: synthesis and heterocyclizations. Eur. J. Org. Chem. 2020, 1069–1077. DOI: 10.1002/ejoc.201901833 (Featured by Cover Picture).
Semeno, V. V.; Vasylchenko, V. O.; Vashchenko, B. V.; Lutsenko, D. O.; Iminov, R. T.; Volovenko, O. B.; Grygorenko, O. O. Building the housane: diastereoselective synthesis and characterization of bicyclo[2.1.0]pentane carboxylic acids. J. Org. Chem. 2020, 85, 2321–2337. DOI: 10.1021/acs.joc.9b03044 (Featured by Cover Picture).
Grygorenko, O. O.; Volochnyuk, D. M.; Ryabukhin, S. V.; Judd, D. B. The symbiotic relationship between drug discovery and organic chemistry. Chem. Eur. J. 2020, 26, 1196–1237. DOI: 10.1002/chem.201903232 (Featured by Frontispiece).
Geraschenko, O. V.; Solomin, V. V.; Vashchenko, B. V.; Khodakivskyi, P.; Tolmachev, A. A.; Grygorenko, O. O. Synthesis and chemical transformations of diazolyl α,α-difluoroacetates. J. Fluorine Chem. 2020, 229, 109407. DOI: 10.1016/j.jfluchem.2019.109407.
2019
Malets, Y. S.; Moskvina, V. S.; Grygorenko, O. O.; Brovarets, V. S. Synthesis of azachromones and azachromanones. Chem. Heterocycl. Compd. 2019, 55, 1007–1012. DOI: 10.1007/s10593-019-02570-x.
Chalyk, B. A.; Khutorianskyi, A.; Lysenko, A.; Fil, Yu.; Kuchkovska, Yu. O.; Gavrilenko, K. S.; Bakanovych, I.; Moroz, Yu. S.; Gorlova, A. O.; Grygorenko, O. O. Regioselective synthesis of functionalized 3- or 5-fluoroalkyl isoxazoles and pyrazoles from fluoroalkyl ynones and binucleophiles. J. Org. Chem. 2019, 84, 15212–15225. DOI: 10.1021/acs.joc.9b02258.
Hryshchuk, O. V.; Yurov, Ye. Yu.; Tymtsunik, A. V.; Kovtunenko, V. O.; Komarov, I. V.; Grygorenko, O. O. Multigram synthesis and C–C/C–N couplings of functionalized 1,2‐disubstituted cyclopropyltrifluoroborates. Adv. Synth. Catal. 2019, 361, 5428–5439. DOI: 10.1002/adsc.201900879.
Chalyk, B. A.; Hrebeniuk, K. V.; Fil, Yu. V.; Gavrilenko, K. S.; Rozhenko, A. B.; Vashchenko, B. V.; Borysov, O. V.; Biitseva, A. V.; Lebed., P. S.; Bakanovych, Iu.; Moroz, Yu. S.; Grygorenko, O. O. Synthesis of 5-(fluoroalkyl)isoxazole building blocks by regioselective reactions of functionalized halogenoximes. J. Org. Chem. 2019, 84, 15877–15899. DOI: 10.1021/acs.joc.9b02264 (Featured by Cover Picture).
Grygorenko, O. O.; Kokhan, S. O. Hetaryl-substituted bicyclo[1.1.1]pentanes. Chem. Heterocycl. Compd. 2019, 55, 933–935. DOI: 10.1007/s10593-019-02558-7.
Sokolenko, Ye. M.; Yurov, Ye. Yu.; Vashchenko, B. V.; Hryshchuk, O. V.; Filimonova, Yu.; Ostapchuk, E. N.; Artemenko, A.; Zaremba, O. V.; Grygorenko, O. O. Far away from flatland. Synthesis and molecular structure of di- and tri-hetera[3.3.n]propellanes – advanced analogues of morpholine/piperazine. J. Org. Chem. 2019, 84, 13908–13921. DOI: 10.1021/acs.joc.9b02067.
Blahun, O. P.; Redka, M. O.; Voitenko, Z. V.; Kysil, A. I.; Dobrydnev, A. V.; Grygorenko, O. O. 2,2-Difluorovinyl pinacolborane – a new versatile reagent for the Suzuki–Miyaura reaction. Eur. J. Org. Chem. 2019, 6417–6421. DOI: 10.1002/ejoc.201901118.
Savych, O.; Kuchkovska, Y.; Bogolyubsky, A. V.; Konovets, A. I.; Gubina, K. E.; Pipko, S. E.; Zhemera, A. V.; Grishchenko, A. V.; Khomenko, D. N.; Brovarets, V.; Doroschuk, R.; Moroz, Y. S.; Grygorenko, O. O. One-pot parallel synthesis of 5-(dialkylamino)tetrazoles. ACS Comb. Sci. 2019, 21, 635–642. DOI: 10.1021/acscombsci.9b00120.
Klingler, F.-M.; Gastreich, M.; Grygorenko, O. O.; Savych, O.; Borysko, P.; Griniukova, A.; Gubina, K. E.; Lemmen, C.; Moroz, Y. S. SAR by space: enriching hit sets from the chemical space. Molecules 2019, 24, 3096. DOI: 10.3390/molecules24173096.
Grygorenko, O. O.; Melnykov, K. P. Saturated spirocyclic nitrogen-containing heterocycles with gem-difluorocycloalkane moieties. Chem. Heterocycl. Compd. 2019, 55, 692–694. DOI: 10.1007/s10593-019-02521-6.
Demchuk, O. P.; Hryshchuk, O. V.; Vashchenko, B. V.; Radchenko, D. S.; Kovtunenko, V. O.; Komarov, I. V.; Grygorenko, O. O. Robust and scalable approach to 1,3-disubstituted pyridylcyclobutanes. Eur. J. Org. Chem. 2019, 5937–5949. DOI: 10.1002/ejoc.201901001.
Slobodyanyuk, E. Y.; Berezowska, Y. L.; Solomin, V. V.; Volochnyuk, D. M.; Rozhenko, A. B.; Ryabukhin, S. V.; Grygorenko. O. O. Formation of 10/12/14-membered rings is favored over 5/6/7-membered. An unexpected result from oxazole chemistry. Eur. J. Org. Chem. 2019, 4962–4967. DOI: 10.1002/ejoc.201900914.
Kovalenko, M.; Yarmoliuk, D. V.; Serhiichuk, D.; Chernenko, D.; Smyrnov, V.; Breslavskyi, A.; Hryshchuk, O. V.; Kleban, I.; Rassukana, Y.; Tymtsunik, A. V.; Tolmachev, A. A.; Kuchkovska, Y. O.; Grygorenko, O. O. The boron‐Wittig olefination of aldehydes and ketones with bis[(pinacolato)boryl]methane: an extended reaction scope. Eur. J. Org. Chem. 2019, 5624–5635. DOI: 10.1002/ejoc.201900648.
Slobodyanyuk, E. Y.; Andriienko, A. A.; Vashchenko, B. V.; Volochnyuk, D. M.; Ryabukhin, S. V.; Grygorenko, O. O. Expanding the chemical space of sp3-enriched 4,5-disubstituted oxazoles via synthesis of novel building blocks. Chem. Heterocycl. Comp. 2019, 55, 421–434. DOI: 10.1007/s10593-019-02475-9.
Subota, A. I.; Ryabukhin, S. V.; Gorlova, A. O.; Grygorenko, O. O.; Volochnyuk, D. M. An approach to the synthesis of 3-substituted piperidines bearing partially fluorinated alkyl groups. J. Fluorine Chem. 2019, 224, 61–66. DOI: 10.1016/j.jfluchem.2019.05.006.
Stepaniuk, O. O.; Rudenko, T. V.; Vashchenko, B. V.; Matvienko, V. O.; Kondratov, I. S.; Tolmachev, A. A.; Grygorenko, O. O. Reaction of β-alkoxyvinyl α-ketoesters with acyclic NCN binucleophiles – scalable approach to novel functionalized pyrimidines. Tetrahedron 2019, 75, 3472–3478. DOI: 10.1016/j.tet.2019.05.005.
Martyloga, O. V.; Myronenko, A.; Tkachenko, A. M.; Matvienko, V. O.; Kuchkovska, Y.; Grygorenko, O. O. Multigram synthesis of functionalized spirocyclic diazirines. Eur. J. Org. Chem. 2019, 3744–3750. DOI: 10.1002/ejoc.201900485.
Subota, A. I.; Lutsenko, A. O.; Vashchenko, B. V.; Volochnyuk, D. M.; Levchenko, V.; Dmytriv, Y. V.; Rusanov, E. B.; Gorlova, A. O.; Ryabukhin, S. V.; Grygorenko, O. O. Scalable and straightforward synthesis of all isomeric (cyclo)alkylpiperidines. Eur. J. Org. Chem. 2019, 3636–3648. DOI: 10.1002/ejoc.201900450. (Featured by a Cover picture).
Melnykov, K. P.; Artemenko, A. N.; Ivanenko, B. O.; Sokolenko, Y. M.; Nosik, P. S.; Ostapchuk, E. N.; Grygorenko, O. O.; Volochnyuk, D. M.; Ryabukhin, S. V. Scalable synthesis of biologically relevant spirocyclic pyrrolidines. ACS Omega 2019, 4, 7498−7515. DOI: 10.1021/acsomega.9b00896.
Chernykh, A. V.; Melnykov, K. P.; Tolmacheva, N. A.; Kondratov, I. S.; Radchenko, D. S.; Daniliuc, C. G.; Volochnyuk, D. M.; Ryabukhin, S. V.; Kuchkovska, Y. O.; Grygorenko, O. O. Last of the gem-difluorocycloalkanes: synthesis and characterization of 2,2-difluorocyclobutyl-substituted building blocks. J. Org. Chem. 2019, 84, 8487–8496. DOI: 10.1021/acs.joc.9b00719. (Featured by a Cover picture).
Grygorenko, O. O.; Nosik, P. S. Recent advances in (hetero)cyclizations of N-vinylazoles. Chem. Heterocycl. Comp. 2019, 55, 196–198. DOI: 10.1007/s10593-019-02440-6.
Nosik, P. S.; Poturai, A. S.; Pashko, M. O.; Melnykov, K. P.; Ryabukhin, S. V.; Volochnyuk, D. M.; Grygorenko, O. O. N‐Difluorocyclopropyl‐substituted pyrazoles: synthesis and reactivity. Eur. J. Org. Chem. 2019, 27, 4311–4319. DOI: 10.1002/ejoc.201900123. (Featured by a Cover picture).
Zasukha, S. V.; Timoshenko, V. M.; Tolmachev, A. A.; Pivnytska, V. O.; Gavrylenko, O.; Zhersh, S.; Shermolovich, Y.; Grygorenko, O. O. Sulfonimidamides and imidosulfuric diamides: compounds from underexplored part of biologically relevant chemical space. Chem. Eur. J. 2019, 25, 6928–6940. DOI: 10.1002/chem.201900440 (Featured by a Cover picture).
Solomin, V. V.; Radchenko, D. S.; Slobodyanyuk, E. Y.; Geraschenko, O. V.; Vashchenko, B. V.; Grygorenko, O. O. Widely exploited, yet unreported: regiocontrolled synthesis and the Suzuki–Miyaura reactions of bromooxazole building blocks. Eur. J. Org. Chem. 2019, 2884–2898. DOI: 10.1002/ejoc.201900032 (Featured by a Cover picture).
Feskov, I. O.; Chernykh, A. V.; Kuchkovska, Y. O.; Daniliuc, C. G.; Kondratov, I. S.; Grygorenko, O. O. 3-((Hetera)cyclobutyl)azetidines – “stretched” analogues of piperidine, piperazine and morpholine: advanced building blocks for drug discovery. J. Org. Chem. 2019, 84, 1363–1371. DOI: 10.1021/acs.joc.8b02822 (Featured by a Cover picture).
Melnykov, K. P.; Volochnyuk, D. M.; Ryabukhin, S. V.; Rusanov, E. B.; Grygorenko, O. O. A conformationally restricted GABA analogue based on octahydro-1H-cyclopenta[b]pyridine scaffold. Amino acids 2019, 51, 255–261. DOI: 10.1007/s00726-018-2660-1.
Nosik, P. S.; Ryabukhin, S. V.; Pashko, M. O.; Grabchuk, G. P.; Grygorenko, O. O.; Volochnyuk, D. M. Synthesis of 1-hetaryl-2,2-difluorocyclopropane-derived building blocks: the case of pyrazoles. J. Fluorine Chem. 2019, 217, 80–89. DOI: 10.1016/j.jfluchem.2018.11.006.
2018
Yarmoliuk, D. V.; Serhiichuk, D.; Smyrnov, V.; Tymtsunik, A. V.; Hryshchuk, O. V.; Kuchkovska, Y.; Grygorenko, O. O. Synthesis of azabicyclo[n.1.0]alkane-derived bifunctional building blocks via the Corey–Chaykovsky cyclopropanation. Tetrahedron Lett. 2018, 59, 4611–4615. DOI: 10.1016/j.tetlet.2018.11.047.
Tolmachova, K. A.; Moroz, Y. S.; Konovets, A.; Platonov, M. O.; Vasylchenko, O. V.; Borysko, P.; Zozulya, S.; Gryniukova, A.; Bogolubsky, A. V.; Pipko, S.; Mykhailiuk, P. K.; Brovarets, V. S.; Grygorenko, O. O. (Chlorosulfonyl)benzenesulfonyl fluorides – versatile building blocks for combinatorial chemistry: design, synthesis and evaluation of a covalent inhibitor library. ACS Comb. Sci. 2018, 20, 672–680. DOI: 10.1021/acscombsci.8b00130.
Sokolov, A.; Golovach, S.; Kozlinsky, I.; Dolia, K.; Tolmachev, A. A.; Kuchkovska, Y.; Grygorenko, O. O. Diastereoselective synthesis of cyclic sp3-enriched cis-β-alkoxysulfonyl chlorides. Synthesis 2018, 51, 848–858. DOI: 10.1055/s-0037-1611277.
Chalyk, B.; Sosedko, A.; Volochnyuk, D. M.; Tolmachev, A. A.; Gavrilenko, K.; Liashuk, O.; Grygorenko, O. O. Regioselective synthesis of isoxazole and 1,2,4-oxadiazole-derived phosphonates via [3+2] cycloaddition. Org. Biomol. Chem. 2018, 16, 9152–9164. DOI: 10.1039/C8OB02257G (Featured by a Cover picture).
Cherepakha, A. Yu.; Stepannikova, K. O.; Vashchenko, B. V.; Gorichko, M. V.; Tolmachev, A. A.; Grygorenko, O. O. Hetaryl bromides bearing SO2F group – versatile substrates for palladium-catalyzed C–C coupling reactions. Eur. J. Org. Chem. 2018, 6682–6692. DOI: 10.1002/ejoc.201801270.
Homon, A. A.; Hryshchuk, O. V.; Trofymchuk, S.; Michurin, O.; Kuchkovska, Yu.; Radchenko, D. S.; Grygorenko, O. O. Synthesis of 3‐azabicyclo[3.2.0]heptane‐derived building blocks via [3+2] cycloaddition. Eur. J. Org. Chem. 2018, 5596–5604. DOI: 10.1002/ejoc.201800972.
Chalyk, B. A.; Hrebeniuk, K, V.; Gavrilenko, K. S.; Kulik, I. B.; Rozhenko, A. B.; Volochnyuk, D. M.; Liashuk, O. S.; Grygorenko, O. O. Synthesis of 4‐hetarylisoxazoles from amino acid‐derived halogenoximes and push‐pull enamines. Eur. J. Org. Chem. 2018, 5585–5595. DOI: 10.1002/ejoc.201800753.
Nosik, P.; Ryabukhin, S. V.; Grygorenko, O. O.; Volocnyuk, D. M. Transition metal‐free gem‐difluorocyclopropanation of alkenes with CF3SiMe3 – NaI system: a recipe for electron‐deficient substrates. Adv. Synth. Catal. 2018, 360, 4104–4114. DOI: 10.1002/adsc.201801006 (Featured by a Cover picture).
Melnykov, K. P.; Granat, D. S.; Volochnyuk, D. M.; Ryabukhin, S. V.; Grygorenko, O. O. Multigram synthesis of C4/C5 3,3-difluorocyclobutyl-substituted building blocks. Synthesis 2018, 50, 4949–4957. DOI: 10.1055/s-0037-1610237.
Bondarenko, A. V.; Tolmachev, A. A.; Vashchenko, B. V.; Grygorenko, O. O. Synthesis of functionalized 1,4-dioxanes with an additional (hetero)aliphatic ring. Synthesis 2018, 50, 3696–3707. DOI: 10.1055/s-0037-1610195.
Borysko, P.; Moroz, Y. S.; Vasylchenko, O. V.; Hurmach, V. V.; Starodubtseva, A.; Stefanishena, N.; Nesteruk, K.; Zozulya, S.; Kondratov, I. S.; Grygorenko, O. O. Straightforward hit identification approach in fragment-based discovery of bromodomain-containing protein 4 (BRD4) inhibitors. Bioorg. Med. Chem. 2018, 26, 3399–3405. DOI: 10.1016/j.bmc.2018.05.010.
Mykhalchuk, V. L.; Yarmolchuk, V. S.; Doroschuk, R. O.; Tolmachev, A. A.; Grygorenko, O. O. [3+2] cycloaddition of azomethyne ylide and vinyl sulfonyl fluorides – an approach to pyrrolidine-3-sulfonyl fluorides. Eur. J. Org. Chem. 2018, 2870–2876. DOI: 10.1002/ejoc.201800521.
Chalyk, B. A.; Hrebeniuk, K. V.; Gavrilenko, K. S.; Shablykin, O. V.; Yanshyna, O. O.; Bash, D.; Mykhailiuk, P. K.; Liashuk, O. S.; Grygorenko, O. O. Synthesis of bi‐ and polyfunctional isoxazoles from amino acid‐derived halogenoximes and active methylene nitriles. Eur. J. Org. Chem. 2018, 2753–2761. DOI: 10.1002/ejoc.201800311 (Featured by a Cover picture).
Grygorenko, O. O.; Kurkunov, M.; Levandovskiy, I. A.; Tymtsunik, A. V. Synthesis of 2-azabicyclo[n.2.0]alkane-derived building blocks. Synthesis 2018, 50, 1973–1978. DOI: 10.1055/s-0037-1609434.
Grygorenko, O. O.; Demenko, D.; Volochnyuk, D. M.; Komarov, I. V. Following Ramachandran 2: exit vector plot (EVP) analysis of disubstituted saturated rings. New J. Chem. 2018, 42, 8355–8365. DOI: 10.1039/C7NJ05015A (Featured by a Cover picture).
Skalenko, Y. A.; Druzhenko, T. V.; Denisenko, A. V.; Samoilenko, M. V.; Dacenko, O. P.; Trofymchuk, S. A.; Grygorenko, O. O.; Tolmachev, A. A.; Mykhailiuk, P. K. [2+2]-photocycloaddition of N-benzylmaleimide to alkenes as an approach to functional 3-azabicyclo[3.2.0]heptanes. J. Org. Chem. 2018, 83, 6275–6289. DOI: 10.1021/acs.joc.8b00077 (Featured by a Cover picture).
Grygorenko, O. O.; Biitseva, A. V.; Zhersh, S. Amino sulfonic acids, peptidosulfonamides and other related compounds. Tetrahedron 2018, 74, 1355–1421. DOI: 10.1016/j.tet.2018.01.033.
Ivon, Y. M.; Voitenko, Z. V.; Grygorenko, O. O. 1-(Trimethylsilyl)vinyl MIDA boronate: a trifunctional C2 building block. Synthesis 2018, 50, 1857–1861. DOI: 10.1055/s-0036-1591926.
Slobodyanyuk, E. Y.; Artamonov, O. S.; Kulik, I. B.; Rusanov, E.; Volochnyuk, D. M.; Grygorenko, O. O. A bio-inspired approach to proline-derived 2,4-disubstituted oxazoles. Heterocycl. Commun. 2018, 24, 11–17. DOI: 10.1515/hc-2017-0235.
Bogolubsky, A.; Moroz, Y. S.; Savych, O.; Pipko, S.; Konovets, A.; Platonov, M. O.; Vasylchenko, O. V.; Hurmach, V. V.; Grygorenko, O. O. An old story in the parallel synthesis world: an approach to hydantoin libraries. ACS Comb. Sci. 2018, 20, 35−43. DOI: 10.1021/acscombsci.7b00163.
2017
Kleban, I.; Tymtsunik, A. V.; Rassukana, Y. V.; Grygorenko, O. O. O-(α-Phenylethyl)hydroxylamine as a ‘chiral ammonia equivalent’: synthesis and resolution of 5-oxopyrrolidine- and 6-oxopiperidine-3-carboxylic acids. Tetrahedron: Asymmetry 2017, 28, 1817–1822. DOI: 10.1016/j.tetasy.2017.10.027.
Subota, A. I.; Volochnyuk, D. M.; Gorlova, A.; Grygorenko, O. O. Scalable synthesis and properties of 7-methyl-4-azaindole. Heterocycl. Commun. 2017, 23, 449–453. DOI: 10.1515/hc-2017-0180.
Kokhan, S. O.; Valter, Y. B.; Tymtsunik, A. V.; Komarov, I. V.; Grygorenko, O. O. Bicyclo[1.1.1]pentane-derived building blocks for click chemistry. Eur. J. Org. Chem. 2017, 6450–6456. DOI: 10.1002/ejoc.201701296.
Denisenko, A. V.; Druzhenko, T.; Skalenko, Y.; Samoilenko, M.; Grygorenko, O. O.; Zozulya, S.; Mykhailiuk, P. K. Photochemical synthesis of 3-azabicyclo[3.2.0]heptanes: advanced building blocks for drug discovery. J. Org. Chem. 2017, 82, 9627–9636. DOI: 10.1021/acs.joc.7b01678.
Nosik, P. S.; Artamonov, O. S.; Ryabukhin, S. V.; Grygorenko, O. O. An approach to 1,1-disubstituted pyrazolylcyclopropane building blocks. SynOpen 2017, 1, 84–90. DOI: 10.1055/s-0036-1588544.
Nosik, P.; Gerasov, A.; Boiko, R.; Rusanov, E.; Ryabukhin, S.; Grygorenko, O.; Volocnyuk, D. Gram-scale synthesis of amines bearing gem-difluorocyclopropane moiety. Adv. Synth. Catal. 2017, 359, 3126–3136. DOI: 10.1002/adsc.201700857 (Featured by a Cover picture).
Melnykov, K. P.; Nosik, P. S.; Kurpil’, B. B.; Sibgatulin, D. A.; Volochnyuk, D. M.; Ryabukhin, S. V.; Grygorenko, O. O. Synthesis of gem-difluorocyclopentane/hexane building blocks. J. Fluorine Chem. 2017, 199, 60–66. DOI: 10.1016/j.jfluchem.2017.04.012.
Sokolenko, Y. M.; Ostapchuk, E. N.; Artemenko, A.; Grygorenko, O. O. An approach to 3-oxa-7-azabicyclo[3.3.0]octanes – bicyclic morpholine surrogates. Synthesis 2017, 49, 3112–3117. DOI: 10.1055/s-0036-1588785 (Featured by a Cover picture).
Subota, A. I.; Artamonov, O. S.; Gorlova, A.; Volochnyuk, D. M.; Grygorenko, O. O. Approach to 5-substituted 6,7,8,9-tetrahydro-5H-pyrido[3,2-c]azepines. Tetrahedron Lett. 2017, 58, 1989–1991. DOI: 10.1016/j.tetlet.2017.04.030.
Adamovskyi, M. I.; Ryabukhin, S. V.; Sibgatulin, D. A.; Rusanov, E.; Grygorenko, O. O. Beyond the five and six: evaluation of seven-membered cyclic anhydrides in the Castagnoli–Cushman reaction. Org. Lett. 2017, 19, 130–133. DOI: 10.1021/acs.orglett.6b03426.
2016
Nosik, P. S.; Ryabukhin, S. V.; Artamonov, O. S.; Grygorenko, O. O. Synthesis of trans-disubstituted pyrazolylcyclopropane building blocks. Monatch. Chem. 2016, 147, 1629–1636. DOI: 10.1007/s00706-016-1726-6.
Tymtsunik, A. V.; Kokhan, S. O.; Ivon, Y. M.; Komarov, I. V.; Grygorenko, O. O. Intramolecular functional group differentiation as a strategy for the synthesis of bridged bicyclic β-amino acids. RSC Adv. 2016, 6, 22737– 22748. DOI: 10.1039/C6RA01548D
Grygorenko, O. O.; Babenko, P.; Volochnyuk, D. M.; Raievskyi, O.; Komarov, I. V. Following Ramachandran: exit vector plots (EVP) as a tool to navigate chemical space covered by 3D bifunctional scaffolds. The case of cycloalkanes. RSC Adv. 2016, 6, 17595–17605. DOI: 10.1039/C5RA19958A
2015
Artamonov, O. S.; Bulda, T.; Fam, T. K.; Slobodyanyuk, E. Y.; Volochnyuk, D. M.; Grygorenko, O. O. A stereolibrary of conformationally restricted amino acids based on pyrrolidinyl/piperidinyloxazole motifs. Heterocycl. Commun. 2015, 21, 391–395. DOI: 10.1515/hc-2015-0137.
Tymtsunik, A. V.; Ivon, Y. M.; Komarov, I. V.; Grygorenko, O. O. Synthesis of racemic and enantiopure 3,4-methanonipecotic acid. Tetrahedron: Asymmetry 2015, 26, 1268–1272. DOI: 10.1016/j.tetasy.2015.09.015.
Ivonin, S. P.; Kurpil’, B. B.; Volochnyuk, D. M.; Grygorenko, O. O. Regioselective synthesis of pyrazoles fused with heteroaliphatic amines at the [3,4-c] edges. Tetrahedron Lett. 2015, 56, 6248–6250. DOI: 10.1016/j.tetlet.2015.09.108.
Grygorenko, O. O. Bicyclic β-amino acids. Tetrahedron 2015, 71, 5169–5216. DOI: 10.1016/j.tet.2015.05.069.
Ivonin, S. P.; Kurpil’, B. B.; Bezdudny, A. V.; Volochnyuk, D. M.; Grygorenko, O. O. An approach to (4-fluoroalkyl-1-alkyl-1H-pyrazol-3-yl)methylamines. J. Fluorine Chem. 2015, 176, 78–81. DOI: 10.1016/j.jfluchem.2015.06.003.
Chernykh, A. V.; Radchenko, D. S.; Grygorenko, O. O.; Daniliuc, C. G.; Volochnyuk, D. M.; Komarov, I. V. Synthesis and structural analysis of angular monoprotected diamines based on spiro[3.3]heptane scaffold. J. Org. Chem. 2015, 80, 3974–3981. DOI: 10.1021/acs.joc.5b00323.
Ivon, Y. M.; Tymtsunik, A. V.; Komarov, I. V.; Shishkin, O. V.; Grygorenko, O. O. Synthesis of a 2,5-diazabicyclo[2.2.1]heptane-derived α,β-diamino acid. Synthesis 2015, 47, 1123–1130. DOI: 10.1055/s-0034-1380116 (Featured by a Cover picture).
Subota, A. I.; Grygorenko, O. O.; Valter, Y. B.; Tairov, M. A.; Artamonov, O. S.; Volochnyuk, D. M.; Ryabukhin, S. V. Approach to 3-(cyclo)alkylpiperidines through ‘sp3–sp3 via sp2–sp3’ coupling. Synlett 2015, 26, 408–411. DOI: 10.1055/s-0034-1379502.
2014
Ivonin, S. P.; Kurpil’, B. B.; Grygorenko, O. O.; Volochnyuk, D. M. Reaction of hydrazones derived from electron-deficient ketones with Vilsmeier-Haack reagent. Heterocycl. Commun. 2014, 20, 351–354. DOI: 10.1515/hc-2014-0176.
Ryabukhin, S. V.; Fominova, K. I.; Sibgatulin, D. A.; Grygorenko, O. O. Synthesis of three-dimensional fused and spirocyclic oxygen-containing cyclobutanone derivatives. Tetrahedron Lett. 2014, 55, 7240–7242. DOI: 10.1016/j.tetlet.2014.11.050.
Ivonin, S. P.; Kurpil’, B. B.; Grygorenko, O. O.; Volochnyuk, D. M. Reaction of hydrazones derived from active methylene compounds with Vilsmeier–Haack reagent. Monatsh. Chem. 2014, 145, 2011–2017. DOI: 10.1007/s00706-014-1293-7.
Гранат, Д. C.; Бійцева, А. В.; Григоренко, О. О.; Рябухін, С. В. Синтез конденсованих похідних піримідину з використанням NCNCC+C підходу. Журн. Орг. Фарм. Хім. 2014, 12(3), 3–16. DOI: 10.24959/ophcj.14.804.
Adamovskyi, M. I.; Artamonov, O. S.; Tymtsunik, A. V.; Grygorenko, O. O. The synthesis of a 2-azabicyclo[3.1.0]hexane by rearrangement of a spirocyclic epoxide. Tetrahedron Lett. 2014, 55, 5970–5972. DOI: 10.1016/j.tetlet.2014.09.020.
Tymtsunik, A. V.; Ivon, Y. M.; Komarov, I. V.; Grygorenko, O. O. Synthesis of Boc-protected 4,5-methano-β-proline. Tetrahedron Lett. 2014, 55, 3312–3315. DOI: 10.1016/j.tetlet.2014.04.038.
Ivonin, S. P.; Kurpil’, B. B.; Rusanov, E. B.; Grygorenko, O. O.; Volochnyuk, D. M. N-Alkylhydrazones of aliphatic ketones in the synthesis of 1,3,4-trisubstituted non-symmetric pyrazoles. Tetrahedron Lett. 2014, 55, 2187–2189. DOI: 10.1016/j.tetlet.2014.02.058.
Ryabukhin, S. V.; Panov, D. M.; Granat, D. S.; Ostapchuk, E. N.; Kryvoruchko, D. V.; Grygorenko, O. O. Toward lead-oriented synthesis: one-pot version of Castagnoli condensation with nonactivated alicyclic anhydrides. ACS Comb. Sci. 2014, 16, 146−153. DOI: 10.1021/co4001277.
Chernykh, A. V.; Radchenko, D. S.; Grygorenko, O. O.; Volochnyuk, D. M.; Shishkina, S. V.; Shishkin, O. V.; Komarov, I. V. Conformationally restricted glutamic acid analogues: stereoisomers of 1-aminospiro[3.3]heptane-1,6-dicarboxylic acid. RSC Adv. 2014, 4, 10894–10902. DOI: 10.1039/C3RA47725H.
Grygorenko, O. O.; Zhersh, S.; Oliinyk, B. V.; Shishkin, O. V.; Tolmachev, A. A. Conformational behavior of peptides containing residues of 3-azetidinesulfonic (3AzeS) and 4-piperidinemethanesulfonic (4PiMS) acids. Tetrahedron: Asymmetry 2014, 25, 229–237. DOI: 10.1016/j.tetasy.2013.12.001.
Tymtsunik, A. V.; Bilenko, V. A.; Grygorenko, O. O.; Komarov, I. V. Gram-scale synthesis of 3,5-methanonipecotic acid, a nonchiral bicyclic β-amino acid. Synlett 2014; 25, 355–358. DOI: 10.1055/s-0033-1340322.
List, B.; Čorić, I.; Grygorenko, O. O.; Kaib, P. S. J.; Komarov, I.; Lee, A.; Leutzsch, M.; Chandra Pan, S.; Tymtsunik, A. V.; van Gemmeren, M. The catalytic asymmetric α-benzylation of aldehydes. Angew. Chem. Int. Ed. 2014, 53, 282–285. DOI: 10.1002/anie.201306037.
Zhersh, S.; Karpenko, O. V.; Ripenko, V.; Tolmachev, A. A.; Grygorenko, O. O. Synthesis of 1-(pyrrolidin-2-ylmethyl)-1H-azoles and their piperidine-derived homologues. Centr. Eur. J. Chem. 2014, 12, 67–73. DOI: 10.2478/s11532-013-0344-y.
2013
Ostapchuk E. N.; Plaskon A. S.; Grygorenko, O. O.; Tolmachev, A. A.; Ryabukhin, S. V. Protecting group free synthesis of carboxyl-substituted dihydropyrimidines through Biginelli reaction. J. Heterocycl. Chem. 2013, 50, 1299–1303. DOI: 10.1002/jhet.1568.
Moriev, R.; Vasylchenko, O.; Platonov, M.; Grygorenko, O.; Volkova K.; Zozulya, S. Identification of novel IGF1R kinase inhibitors by molecular modeling and high-throughput screening. Acta Naturae 2013, 5(2), 90–101.
Borisov, A. V.; Voloshchuk, V. V.; Nechayev, M. A.; Grygorenko, O. O. 5,6,7,8-Tetrahydropyrido[4,3-c]pyridazine: a lead-oriented scaffold with two diversity points. Synthesis 2013, 45, 2413–2416. DOI: 10.1055/s-0033-1339325.
Yaremenko, A. G.; Volochnyuk, D. M.; Shelyakin, V. V.; Grygorenko, O. O. Tetrahydropyrido[d]pyridazinones – promising scaffolds for drug discovery. Tetrahedron 2013, 69, 6799–6803. DOI: 10.1016/j.tet.2013.06.029.
Yaremenko, A. G.; Shelyakin, V. V.; Volochnyuk, D. M.; Rusanov, E. B.; Grygorenko, O. O. An approach to dihydroisoindolobenzodiazepinones—three-dimensional molecular frameworks. Tetrahedron Lett. 2013, 54, 1195–1197. DOI: 10.1016/j.tetlet.2012.12.065.
Grygorenko, O. O.; Zhersh, S.; Oliinyk, B. V.; Shishkin, O. V.; Tolmachev, A. A. Conformational behaviour of peptides containing the 2-pyrrolidinemethanesulfonic acid residue (2PyMS). Org. Biomol. Chem. 2013, 11, 975–983. DOI: 10.1039/c2ob27058g.
Radchenko, D. S.; Michurin, O. M.; Grygorenko, O. O.; Scheinpflug, K.; Dathe, M.; Komarov, I. V. Confining the χ space of basic natural amino acids: cyclobutane-derived χ1,χ2-constrained analogues of arginine, lysine and ornithine. Tetrahedron 2013, 69, 505–511. DOI: 10.1016/j.tet.2012.11.032.
2012
Ryabukhin, S. V.; Panov, D. M.; Plaskon, A. S.; Grygorenko, O. O. Approach to the library of 3-hydroxy-1,5-dihydro-2H-pyrrol-2-ones through a three-component condensation. ACS Comb. Sci. 2012, 14, 631–635. DOI: 10.1021/co300082t.
Ryabukhin, S. V.; Naumchik, V. S.; Grygorenko, O. O.; Tolmachev, A. A. Chlorotrimethylsilane-promoted condensation of ketones and aminoazoles. J. Heterocycl. Chem. 2012, 49, 1147–1150. DOI: 10.1002/jhet.972.
Grygorenko, O. O.; Prytulyak, R.; Volochnyuk, D. M.; Kudrya, V.; Khavryuchenko, O. V.; Komarov, I. V. Focused enumeration and assessing the structural diversity of scaffold libraries: conformationally restricted bicyclic secondary diamines. Mol. Divers. 2012, 16, 477–487. DOI: 10.1007/s11030-012-9381-2.
Liubchak, K.; Tolmachev, A. A.; Grygorenko, O. O.; Nazarenko, K. G. An approach to alicyclic ring-fused xanthines. Tetrahedron 2012, 68, 8564–8571. DOI: 10.1016/j.tet.2012.08.014.
Mityuk, A. P.; Denisenko, A. V.; Grygorenko, O. O.; Tolmachev, A. A. Synthesis of dihydro-2H-pyran-3(4H)-one. Arkivoc 2012, 226–230. DOI: 10.3998/ark.5550190.0013.820.
Shevchuk, N. V.; Liubchak, K., Nazarenko, K. G.; Yurchenko, A. A.; Volochnyuk, D. M.; Grygorenko, O. O.; Tolmachev, A. A. A convenient synthesis of (1H-azol-1-yl)piperidines. Synthesis 2012, 44, 2041–2048. DOI: 10.1055/s-0031-1291126.
Tymtsunik, A. V.; Bilenko, V. A.; Ivon, Ye. M.; Grygorenko, O. O.; Komarov, I. V. Synthesis of a novel Boc-protected cyclopropane-modified proline analogue. Tetrahedron Lett. 2012, 53, 3847–3849. DOI: 10.1016/j.tetlet.2012.05.020.
Plaskon, A. S.; Grygorenko, O. O.; Ryabukhin, S. V. Recyclizations of 3-formylchromones with binucleophiles. Tetrahedron 2012, 68, 2743–2757. DOI: 10.1016/j.tet.2012.01.077.
Tymtsunik, A. V.; Bilenko, V. A.; Kokhan, S. O.; Grygorenko, O. O.; Volochnyuk, D. M.; Komarov, I. V. 1-Alkyl-5-((di)alkylamino) tetrazoles: building blocks for peptide surrogates. J. Org. Chem. 2012, 77, 1174–1180. DOI: 10.1021/jo2022235.
2011
Zhersh, S., Buryanov, V. V., Karpenko, O. V., Grygorenko, O. O., Tolmachev, A. A. A library of conformationally restricted saturated heterocyclic sulfonyl chlorides. Synthesis 2011, 3669–3674. DOI: 10.1055/s-0030-1260223.
Grygorenko, O. O.; Radchenko, D. S.; Volochnyuk, D. M.; Tolmachev, A. A.; Komarov, I. V. Bicyclic conformationally restricted diamines. Chem. Rev. 2011, 111, 5506–5568. DOI: 10.1021/cr100352k.
Ryabukhin, S. V.; Naumchik, V. S.; Plaskon, A. S.; Grygorenko, O. O.; Tolmachev, A. A. Synthesis of 3-haloquinolines via the Friedländer reaction. Synfacts 2011, 949. DOI: 10.1055/s-0030-1260991.
Yarmolchuk, V. S., Mukan, I. L., Grygorenko, O. O., Tolmachev, A. A., Shishkina, S. V.; Shishkin, O. V., Komarov, I. V. An entry into hexahydro-2H-thieno[2,3-c]pyrrole 1,1-dioxide derivatives. J. Org. Chem. 2011, 76, 7010–7016. DOI: 10.1021/jo200878t.
Ryabukhin, S. V.; Naumchik, V. S.; Plaskon, A. S.; Grygorenko, O. O.; Tolmachev, A. A. 3-Haloquinolines by Friedländer reaction of α-haloketones. J. Org. Chem. 2011, 76, 5774–5781. DOI: 10.1021/jo2008252.
Radchenko, D. S.; Tkachenko, A.; Grygorenko, O. O.; Komarov, I. V. Expedient synthesis of cis– and trans-3-aminocyclobutanecarboxylic acids. Synth. Commun. 2011, 41, 1644–1649. DOI: 10.1080/00397911.2010.491595.
Levterov, V.; Grygorenko, O. O.; Mykhailiuk, P. K.; Tolmachev, A. A. Multigram synthesis of 1-(difluoromethyl)imidazoles and -benzimidazoles. Synthesis 2011, 1243–1248. DOI: 10.1055/s-0030-1258470.
Dacenko, O. P.; Manoylenko, O. V.; Grygorenko, O. O.; Mykhailiuk, P. K.; Volochnyuk, D. M.; Shishkin, O. V.; Tolmachev, A. A. Improved synthesis of monoprotected 5- and 6-amino-2-azanorbornanes. Synth. Commun. 2011, 41, 981–992. DOI: 10.1080/00397911003707196.
Grygorenko, O. O.; Artamonov, O. S.; Komarov, I. V. Mykhailiuk, P. K. Trifluoromethyl-substituted cyclopropanes. Tetrahedron 2011, 67, 803–823. DOI: 10.1016/j.tet.2010.11.068.
2010
Kopylova, N. A.; Grygorenko, O. O.; Komarov, I. V.; Groth, U. Synthesis of enantiopure (R,R)- and (S,S)-cis-2,3-propanoprolines. Tetrahedron: Asymmetry 2010, 21, 2868–2871. DOI: 10.1016/j.tetasy.2010.11.017.
Denisenko, A. V.; Mityuk, A. P.; Grygorenko, O. O.; Volochnyuk, D. M.; Shishkin, O. V.; Tolmachev, A. A.; Mykhailiuk, P. K. 3-Benzyl-3-azabicyclo[3.1.1]heptan-6-one: a promising building block for medicinal chemistry. Org. Lett. 2010, 12, 4372–4375. DOI: 10.1021/ol101866x.
Radchenko, D. S.; Pavlenko, S. O.; Grygorenko, O. O.; Volochnyuk, D. M.; Shishkina, S. V.; Shishkin, O. V.; Komarov, I. V. Cyclobutane-derived diamines: synthesis and molecular structure. J. Org. Chem. 2010, 75, 5941–5952. DOI: 10.1021/jo101271h.
Volochnyuk, D. M.; Ryabukhin, S. V.; Plaskon, A. S.; Dmytriv, Y. V.; Grygorenko, O. O.; Mykhailiuk, P. K.; Krotko, D. G.; Pushechnikov, A.; Tolmachev, A. A. Approach to the library of fused pyridine-4-carboxylic acids by Combes-type reaction of acyl pyruvates and electron-rich amino heterocycles. J. Comb. Chem. 2010, 12(4), 510–517. DOI: 10.1021/cc100040q.
Ryabukhin, S. V.; Plaskon, A. S.; Bondarenko, S. S.; Ostapchuk, E. N.; Grygorenko, O. O.; Shishkin, O. V.; Tolmachev, A. A. Acyl pyruvates as synthons in the Biginelli reaction Tetrahedron Lett. 2010, 51, 4229–4232. DOI: 10.1016/j.tetlet.2010.06.032.
Radchenko, D. S.; Grygorenko, O. O.; Komarov, I. V. Synthesis of 2-azaspiro[3.3]heptane-derived amino acids: ornitine and GABA analogues. Amino Acids 2010, 39, 515–521. DOI: 10.1007/s00726-009-0467-9.
Zamkova, I. A.; Chekotylo, O. O.; Geraschenko, O. V.; Grygorenko, O. O., Mykhailiuk, P. K.; Tolmachev, A. A. Imidazo[1,2]hetarylglyoxylates: synthesis and reactivity towards nucleophiles. Synthesis 2010, 1692–1696. DOI: 10.1055/s-0029-1218739.
Mityuk, A. P.; Denisenko, A. V.; Dacenko, O. P.; Grygorenko, O. O.; Mykhailiuk, P. K.; Volochnyuk, D. M.; Tolmachev, A. A. Synthesis of bridged 1,4-diazepane derivatives via Schmidt reactions. Tetrahedron Lett. 2010, 51, 1790–1792. DOI: 10.1016/j.tetlet.2010.01.121.
Mityuk, A. P.; Denisenko, A. V.; Dacenko, O. P.; Grygorenko, O. O.; Mykhailiuk, P. K.; Volochnyuk, D. M.; Shishkin, O. V.; Tolmachev, A. A. An approach to azabicyclo[n.3.1]alkanes by double Mannich reaction. Synthesis 2010, 493–497. DOI: 10.1055/s-0029-1217137.
2009 – 2002
Tkachenko, A. N.; Radchenko, D. S.; Mykhailiuk, P. K.; Grygorenko, O. O.; Komarov, I. V. 4-Fluoro-2,4-methanoproline. Org. Lett. 2009, 11, 5674–5676. DOI: 10.1021/ol902381w.
Volochnyuk, D. M.; Ryabukhin, S. V.; Plaskon, A. S.; Grygorenko, O. O. Organosilicon compounds as water scavengers in reactions of carbonyl compounds. Synthesis 2009, 3719–3743. DOI: 10.1055/s-0029-1217066.
Radchenko, D. S.; Kopylova, N. A.; Grygorenko, O. O.; Komarov, I. V. Conformationally restricted nonchiral pipecolic acid analogues. J. Org. Chem. 2009, 74(15), 5541–5544. DOI: 10.1021/jo900842w.
Grygorenko, O. O.; Komarov, I. V.; Cativiela, C. A novel approach to 2,4-ethanoproline. Tetrahedron: Asymmetry 2009, 20, 1433–1436. DOI: 10.1016/j.tetasy.2009.05.003.
Radchenko, D. S.; Grygorenko, O. O.; Komarov, I. V. Synthesis of conformationally restricted glutamic acid analogs based on the spiro[3.3]heptane scaffold. Tetrahedron: Asymmetry 2008, 19, 2924–2930. DOI: 10.1016/j.tetasy.2008.12.016.
Grygorenko, O. O.; Kopylova, N. A.; Mikhailiuk, P. K.; Meißner, A.; Komarov, I. V. An approach to 2-cyanopyrrolidines bearing a chiral auxiliary. Tetrahedron: Asymmetry 2007, 18, 290–297. DOI: 10.1016/j.tetasy.2007.01.008.
Komarov, I. V.; Grygorenko, O. O.; Radchenko, D. S.; Artamonov, O. S.; Kostyuk, A. N.; Tolmachev, A. A. Libraries of conformationally restricted and rigid amino acids. Chem. Today 2006, 24(4), 22–23.
Grygorenko, O. O.; Artamonov, O. S.; Palamarchuk, G. V.; Zubatyuk, R. I.; Shishkin, O. V.; Komarov, I. V. Stereoselective synthesis of 2,4-methanoproline homologues. Tetrahedron: Asymmetry, 2006, 17, 252–258. DOI: 10.1016/j.tetasy.2005.12.009.
Komarov, I. V.; Grigorenko, A. O.; Turov, A. V.; Khilya, V. P. Conformationally rigid cyclic α-amino acids in the design of peptidomimetics, peptide models and biologically active compounds. Russ. Chem. Rev., 2004, 73, 785–810. DOI: 10.1070/RC2004v073n08ABEH000912.
Komarov, I. V.; Gorichko, M. V.; Grygorenko, O. O. A chiral tricyclic proline analogue obtained from camphor. Tetrahedron Lett. 2002, 43, 9411–9412. DOI: 10.1016/S0040-4039(02)02325-0.
- 2026
- 2025
- 2024
- 2023
- 2022
- 2021
- 2020
- 2019
- 2018
- 2017
- 2016
- 2015
- 2014
- 2013
- 2012
- 2011
- 2010
-
2009
–
2002
Lukyanenko, S. Yu.; Nosyk, D. A.; Granat, D. S.; Kozytskyi, A. V.; Yurchenko, O. O.; Pokholenko, O.; Dobrydnev, A. V.; Grygorenko, O. O. Synthesis and structural characterization of 3,6-disubstituted bicyclo[3.2.0]heptane building blocks: promising saturated bicyclic isosteres of cycloalkanes/benzene. Eur. J. Org. Chem. 2026, 29(11), e70334. DOI: 10.1002/ejoc.70334. Preprint: 10.26434/chemrxiv-2025-zhhxk.
Verner, E. V.; Subotin, V. V.; Vashchenko, B.; Grygorenko, O. O.; Ryabukhin, S. V.; Volochnyuk, D. M.; Kolotilov, S. Catalytic hydrogenation of conjugated dienes with different reactivities using a Pd/C nanophase catalyst. SynOpen 2026, 10(1): 87–91. DOI: 10.1055/a-2813-7773.
Shevchuk, O. I.; Vashchenko, B. V.; Doroshenko, I. O.; Stepannikova, K. O.; Hys, V. Yu.; Karpenko, O. V.; Kozachenko, O. P.; Cherepakha, A. Yu.; Kozytskyi, A.; Tolmachova, K. A.; Zhersh, S.; Tolmachov, A. O.; Grygorenko, O. O. Stability of Heteroaromatic Sulfonyl Chlorides and Fluorides. Chem. Eur. J. 2026, in press. DOI: 10.1002/chem.70739 (Featured by a Cover Picture). Preprint: 10.26434/chemrxiv-2025-p0mgm.
Yakubovskyi, V.; Semoshkina, O.; Melnykov, K.; Grygorenko, O. O.; Liashuk, O. S. Synthesis of multifunctional 2,3-dihydroquinolin-4(1H)-one building blocks via permanganate-promoted oxidation of 1,2,3,4-tetrahydroquinolines. ChemistrySelect 2026, 11(6), e07236. DOI:10.1002/slct.202507236. Preprint: 10.26434/chemrxiv-2025-z7qkm. Raw data: 10.5281/zenodo.17578697.
Timokhin, O. S.; Hys, V. V.; Kucher, O. V.; Kozytskyi, A. V.; Yizhak, R. V.; Brovarets, V. S.; Grygorenko, O. O.; Moskvina, V. S. From flavones to flavanols: an enzymatic kinetic resolution approach to enantioenriched 2-(het)arylchroman-4-ols. Tetrahedron 2026, 194, 135174. DOI:10.1016/j.tet.2026.135174. Preprint: 10.2139/ssrn.5912933.
Klyukovskyi, D.; Liashuk, O. S.; Redka, M.; Bezuhla, A. T.; Blahun, O. P.; Lesyk, D.; Borysko, P.; Chernykh, A. V.; Pustovit, Y. M.; Grygorenko, O. O. Synthesis, physicochemical properties, and computational analysis of tris(fluoromethyl)alkyl building blocks. Chem. Eur. J. 2026, in press. DOI:10.1002/chem.70736. Preprint: 10.26434/chemrxiv-2025-v24r.
Gavrylenko, O. V.; Vashchenko, B. V.; Naumchyk, V.; Sosunovych, B. S.; Chuk, O.; Hrabovskyi, O.; Kuchuk, O.; Pogribna, A.; Nikitin, S. O.; Konovets, A. I.; Brovarets, V. S.; Zozulya, S. A.; Radchenko, D. S.; Grygorenko, O. O.; Moroz, Y. S. Click chemistry-enabled parallel synthesis of N-acyl sulfonamides and their evaluation as carbonic anhydrase inhibitors. Molecules 2026, 31(2), 318. DOI: 10.3390/molecules31020318. Preprint: 10.26434/chemrxiv-2025-4f0wm.
Melnyk, Y.; Liashuk, O. S.; Horulya, O.; Kachkovskiy, O. D.; Grygorenko, O. O. Deoxyfluorination of hydroxy-substituted boronates. ACS Org. Inorg. Au 2026, 6(1), 169–176. DOI: 10.1021/acsorginorgau.5c00112. Preprint: 10.26434/chemrxiv-2025-m36fb. Raw data: 10.5281/zenodo.17817179.
Galavskyy, S.; Chernykh, A. V.; Klymenko, D. S.; Liashuk, O. S.; Shishkina, S. V.; Lesyk, D.; Nosyk, P.; Makhankova, V.; Borysko, P.; Volochnyuk, D. M.; Ryabukhin, S. V.; Grygorenko, O. O. Multigram synthesis and physicochemical evaluation of (oxa)azaspiro[2.n]alkane building blocks. Org. Chem. Front. 2026, 13(4), 1106–1115. DOI: 10.1039/D5QO01505G (Featured by a Cover Picture). Preprint: 10.26434/chemrxiv-2025-07ss9. Raw data: 10.5281/zenodo.17494640.
Bondarenko, A. V.; Kozyriev, Y.; Doroshenko, I. O.; Lesyk, D.; Borysko, P.; Shishkina, S. V.; Vashchenko, B. V.; Grygorenko, O. O. Bicyclic 1,4-dioxepanes for drug discovery: multigram synthesis, physicochemical, and structural characterization. Chem. Eur. J. 2026, 32(8), e02928. DOI: 10.1002/chem.202502928. Preprint: 10.26434/chemrxiv-2025-cgg8d.
Redka, M. O.; Sherstiuk, O. A.; Hurieva, A.; Kondratov, I. S.; Liashuk, O. S.; Grygorenko, O. O. Multigram synthesis and physicochemical characterization of cis-β-CHF₂- and cis-β-CF₃-α-proline. J. Fluorine Chem. 2026, 286, 110524. DOI: 10.1016/j.jfluchem.2025.110524. Preprint: 10.26434/chemrxiv-2025-n6z61. Raw data: 10.5281/zenodo.17600870.
Bilenko, V. A.; Huliak, V.; Kinakh, S.; Inwood, R. A.; Stowe, T.; Maduli, E. J. M.; Broadbelt, B.; Crampton, R. H.; Griffen, E. J.; Matviiuk, T.; Komarov, I. V.; Grygorenko, O. O. Expedient synthesis of 1-oxo-1,2,3,4-tetrahydroisoquinoline-4-carboxylates. Eur. J. Org. Chem. 2025, 29(3), e202500842. DOI: 10.1002/ejoc.202500842.
Redka, M. O.; Dovhaniuk, N.; Blahun, O.; Liashuk, O. S.; Hurieva, A. M.; Lesyk, D.; Skrypnik, D.; Holota, Y.; Durylin, D.; Borysko, P.; Kondratov, I. S.; Grygorenko, O. O. Synthesis and physicochemical characterization of 5-trifluoromethyl-substituted tetrahydrofurans and tetrahydrothiophenes. Eur. J. Org. Chem. 2025, 29(3), e202501086. DOI: 10.1002/ejoc.202501086.
Govor, E. V.; Dymura, S.; Viniichuk, O.; Naumchyk, V.; Zhemera, A.; Radchenko, D. S.; Grygorenko, O. O. Generating multimillion chemical space based on the Ugi four-center three-component reaction with oxocarboxylic acids. Mol. Divers. 2026, in press. DOI: 10.1007/s11030-025-11410-4.
Gavrylenko, O. V.; Vashchenko, B. V.; Naumchyk, V.; Chuk, O.; Kuchuk, O.; Pogribna, A.; Konovets, A. I.; Brovarets, V. S.; Zozulya, S. A.; Radchenko, D. S.; Grygorenko, O. O.; Moroz, Y. S. Expanding chemical space of N-acyl sulfonamides for carbonic anhydrase inhibitor discovery. Eur. J. Med. Chem. 2026, 302, 118296. DOI: 10.1016/j.ejmech.2025.118296.
Fang, H.; García-Camacho, A.; Hwang, H. S.; Sudsamart, A.; Daniliuc, C. G.; Grygorenko, O. O.; Funes-Ardoiz, I.; Molloy, J. J. Boron-enabled stereoselective synthesis of polysubstituted housanes. J. Am. Chem. Soc. 2025, 147(51), 47730–47741. DOI: 10.1021/jacs.5c17624. Preprint: 10.26434/chemrxiv-2025-cgg8d.
Redka, M. O.; Liashuk, O. S.; Kondratov, I. S.; Grygorenko, O. O. Practical сhiral separation of β-СF₃-α-proline. Ukr. Bioorg. Acta 2025, 20(2), 35–39. DOI: 10.15407/bioorganica2025.02.035.
Gavrylenko, O. V.; Sosunovych, B. S.; Vashchenko, B. V.; Grygorenko, O. O. Synthesis of N-acyl sulfonamides: from common acylation reactions to modern catalytic and sustainable methods. Ukr. Bioorg. Acta 2025, 20(2), 13–23. DOI: 10.15407/bioorganica2025.02.013.
Nosyk, D. A.; Lukyanenko, S. Yu.; Granat, D. S.; Skrypnik, D.; Chigrinov, V.; Liashuk, O. S.; Shishkina, S. V.; Savchenko, T.; Yurchenko, O. O.; Grygorenko O. O. Eur. J. Org. Chem. 2025, 28 (47), e202500970. DOI: 10.1002/ejoc.202500970. Preprint: 10.26434/chemrxiv-2025-zb9zz. Highlighted in Synfacts 2026, 22(02), 115. DOI: 10.1055/a-2746-6343.
Voloshyna, O.; Moroz, B.; Melnykov, K. P.; Holovach, S.; Lesyk, D.; Holota, Y.; Borysko, P.; Filatov, A. A.; Grygorenko, O. O. Gram-scale synthesis and physicochemical properties of exo– and endo-5,5-difluorooctahydropentalen-2-amines. J. Fluorine Chem. 2025, 287, 110484. DOI: 10.1016/j.jfluchem.2025.110484.
Komarov, I. V.; Hurieva, A. M.; Davydov, V. I.; Ishchenko, A. Yu.; Grygorenko, O. O. Organocatalysts as enzyme mimetics: a review. Theor. Exp. Chem. 2025, 61, 1–26. DOI: 10.1007/s11237-025-09848-6.
Liashuk, O. S.; Moroz, B.; Melnykov, K. P.; Holovach, S.; Lesyk, D.; Lesyk, Y.; Skrypnik, D.; Holota, Y.; Borysko, P.; Filatov, A. A.; Grygorenko, O. O. Basicity and lipophilicity of gem-difluorinated saturated bicyclic amines: advanced building blocks for drug discovery. Eur. J. Org. Chem. 2025, 28(40), e202500728. DOI: 10.1002/ejoc.202500728 (Featured by a Cover Picture).
Olifir, O. S.; Lenda, P. R.; Chernykh, A. V.; Klymenko, D. S.; Liashuk, O. S.; Shishkina, S. V.; Kondratov, S. V.; Grygorenko, O. O. Synthesis and physicochemical characterization of 6-trifluoromethyl spiro[3.3]heptane building blocks. Eur. J. Org. Chem. 2025, 28(35), e202500587. DOI: 10.1002/ejoc.202500587.
Kleban, I.; Semonchuk, Y.; Liashuk, O. S.; Hurieva, A. M.; Rassukana, Y. V.; Grygorenko, O. O. Multigram copper-catalyzed borylation of functionalized terminal alkynes with B₂Pin₂. Eur. J. Org. Chem. 2025, in press. DOI: 10.1002/ejoc.202500696.
Borodin, I. O.; Zaika, Y. O.; Brovarets, V. S.; Doroshenko, I. O.; Grygorenko, O. O.; Vashchenko, B. V. Scope and limitations of the use of partially unsaturated sultams as dienophiles and dienes in [4+2] Diels-Alder reaction. Ukr. Bioorg. Acta 2025, 20(1), 3–9. DOI: 10.15407/bioorganica2025.01.003.
Dymura, S. A.; Viniichuk, O. O.; Melnykov, K. P.; Radchenko, D. S.; Grygorenko, O. O. Machine learning-based retention time prediction tool for routine LC-MS data analysis. J. Chem. Inf. Model. 2025, 65(14), 7415–7425. DOI: 10.1021/acs.jcim.5c00514.
Litskan, E. V.; Lynnyk, S. V.; Shypov, R. H.; Vashchenko, B. V.; Hoida, A. Ye.; Klymenko-Ulianov, O. O.; Gorlova, A. O.; Granat, D. S.; Grygorenko, O. O.; Volochnyuk, D. M.; Ryabukhin, S. V. Fine-tuning of physicochemical properties of 3,3-disubstituted oxetanes introducing fluorine atom(s) on the building blocks level. Chem. Eur. J. 2025, 31(51), e00940. DOI: 10.1002/chem.202500940.
Chernykh, A. V.; Liashuk, O. S.; Kononenko, K. O.; Michuda, A. Y.; Olifir, O. S.; Lesyk, D.; Turenko, K.; Kozytskyi, A. V.; Shishkina, S. V.; Borysko, P.; Ryabukhin, S. V.; Volochnyuk, D. M.; Grygorenko, O. O. Synthesis and physicochemical properties of functionalized cis‑2-((fluoro)alkyl)cyclobutanes. ChemPlusChem 2025, 90(9), e202500150. DOI: 10.1002/cplu.202500150.
Litskan, E. V.; Semenchenko, O. V.; Lynnyk, S. V.; Granat, D. S.; Vashchenko, B. V.; Hoida, A. Ye.; Tolmachova, D. A.; Leha, D. O.; Grygorenko, O. O.; Volochnyuk, D. M.; Ryabukhin, S. V. Oxetane as a part of modern medicinal chemistry toolbox: the advanced synthesis of 3,3-disubstituted building blocks. Org. Chem. Front. 2025, 12(13), 3775–3785. DOI: 10.1039/D5QO00572H.
Zaika, Y. O.; Borodin, I. O.; Olekh, H. O.; Kovalov, M. V.; Diachenko, O. D.; Brovarets, V. S.; Vashchenko, B. V.; Grygorenko, O. O. Bridged bicyclic sultams by intramolecular flow photochemical [2 + 2] cycloaddition. Org. Lett. 2025, 27(12), 2858–2862. DOI: 10.1021/acs.orglett.5c00314.
Zaika, Y. O.; Vashchenko, B. V.; Sosunovych, B. S.; Khutorianskyi, A. V.; Yasman, P.; Ogurok, V. M.; Brovarets, V. S.; Grygorenko, O. O. [3 + 2] cycloadditions of α,β-unsaturated sultams. Eur. J. Org. Chem. 2025, 28(18), e202500093. DOI: 10.1002/ejoc.202500093.
Chernykh, A. V.; Liashuk, O. S.; Hurieva, A. M.; Lesyk, D.; Holota, Y.; Borysko, P.; Shishkina, S. V.; Volochnyuk, D. M.; Grygorenko, O. O. Fluorine-containing 6-azabicyclo[3.1.1]heptanes: bicyclic piperidine analogs for drug discovery. Eur. J. Org. Chem. 2025, 28(17), e202500022. DOI: 10.1002/ejoc.202500022.
Gurbych, O.; Pavliuk, P.; Krasnienkov, D.; Liashuk, O.; Melnykov, K.; Grygorenko, O. O. Filling the gap in LogP and pKa evaluation for saturated fluorine-containing derivatives with machine learning. J. Comput. Chem. 2025, 46(2), e70002. DOI: 10.1002/jcc.70002. 10.1002/jcc.70002.
Yurov, Y.; Laniush, K.; Hryshchuk, O. V.; Liashuk, O. S.; Grygorenko, O. O. Copper-mediated C–C coupling of alkenyl boronates and bromodifluoroacetates. Adv. Synth. Cat. 2025, 367(7), e202401489. DOI: 10.1002/adsc.202401489.
Timokhin, O. S.; Romanova, A. M.; Moskvina, V. S.; Kucher, O. V.; Boiko, A. I.; Banasevych, A. L.; Durylin, D.; Brovarets, V. S.; Grygorenko, O. O. Synthesis of enantioenriched 2-((hetera)cyclo)alkylchromanols and their spirocyclic analogs through enzymatic resolution. Eur. J. Org. Chem. 2025, 28(8), e202401247. DOI: 10.1002/ejoc.202401247.
Lysenko, V.; Portiankin, A.; Shyshlyk, O.; Savchenko, T.; Nazarenko, K.; Kostyuk, A.; Golovchenko, O. V.; Brovarets, V. S.; Grygorenko, O. O. Multigram synthesis of 3-azabicyclo[3.1.1]heptane derivatives including bicyclic thalidomide analogs. Eur. J. Org. Chem. 2025, 28 (17), e202400938. DOI: 10.1002/ejoc.202400938.
Melnykov, K. P.; Liashuk, O. S.; Smyrnov, O.; Lesyk, D.; Holota, Y.; Borysko, P.; Yakubovskyi, V.; Grygorenko, O. O. Lipophilicity effects of monofluorination at the tertiary aliphatic carbon as a function of α-substituent. J. Fluorine Chem. 2025, 281, 110384. DOI: 10.1016/j.jfluchem.2024.110384.
Melnykov, K. P.; Liashuk, O. S.; Holovach, S.; Shatnia, V.; Horbenko, A.; Lesyk, D.; Melnyk, V.; Skrypnik, D.; Beshtynarska, A.; Borysko, P.; Viniichuk, O.; Grygorenko, O. O. Physicochemical and biological evaluation of gem-difluorinated saturated oxygen heterocycles as bioisosteres for drug discovery. Chem. Eur. J. 2025, 31(10), e202404390. DOI: 10.1002/chem.202404390.
Galavskyy, S.; Chernykh, A.; Liashuk, O.; Lesyk, D.; Shishkina, S. V.; Kliukovskyi, D.; Volochnyuk, D. M.; Ryabukhin, S. V.; Grygorenko, O. O. 4-Azaspiro[2.3]hexane, an overlooked piperidine isostere: multigram synthesis and physicochemical and structural evaluation. J. Org. Chem. 2024, 89(24), 18477–18486. DOI: 10.1021/acs.joc.4c02390.
Liashuk, O. S.; Fedinchyk, A.; Melnykov, K. P.; Herasymchuk, M.; Alieksieieva, D.; Lesyk, D.; Bas, Y. P.; Keda, T. Y.; Yatsymyrskiy, A. V.; Holota, Y.; Borysko, P.; Yarmolchuk, V. S.; Grygorenko, O. O. 3,3-Difluorooxetane – a versatile functional group for bioisosteric replacements in drug discovery. Chem. Eur. J. 2024, 30(72), e202403277. DOI: 10.1002/chem.202403277.
Chernykh, A. V.; Liashuk, O. S.; Hurieva, A. M.; Volochnyuk, D. M.; Grygorenko, O. O. Multigram synthesis of 2-azabicyclo[2.1.1]hexane-1-carboxylates (2,4-methanoprolines) – promising bicyclic proline analogs. J. Org. Pharm. Chem. 2024, 22(3), 24–37. DOI: 10.24959/ophcj.24.314843.
Moroz, B. L.; Holovach, S. M.; Melnykov, K. P.; Lesyk, D. S.; Filatov, A. A.; Grygorenko, O. O. Synthesis and physicochemical characteristics of 6,6-difluorobicyclo[3.2.0]heptane derivatives. J. Org. Pharm. Chem. 2024, 22(3), 3–9. DOI: 10.24959/ophcj.24.314176.
Мельников, К.; Підвишенний, О.; Смирнов, О.; Григоренко, О. Флуоровані сульфоксіміни жирноароматичного ряду: масштабований синтез і вплив структурних елементів на ліпофільність. Вісник Київського національного університету імені Тараса Шевченка. Хімія 2024, 59(1), 5–9. DOI: 10.17721/1728-2209.2024.1(59).
Stadnichenko, V. O.; Yakymchuk, O. V.; Borysko, P. O.; Tolstanova, G. M.; Shyshlyk, O. S.; Grygorenko, O. O. Investigation of the phenyl dihydrouracil molecules as CRBN ligands for the PROTAC development. Biopolym. Cell 2024, 40(3), 241. DOI: 10.7124/bc.000AF1.
Malashchuk, A.; Chernykh, A. V.; Liashuk, O. S.; Hurbanov, R.; Lomaka, M.; Tkachuk, H.; Granat, D.; Grygorenko, O. O. Spiro[2.3]hexane- and spiro[3.3]heptane-derived α-amino acids: synthesis and isoelectric point evaluation. ChemistrySelect 2024, 9(31), e202402108. DOI: 10.1002/slct.202402108.
Aleksandrenko, S.; Dobrydnev, A. V.; Zhersh, S.; Grygorenko, O. O. Saturated heterocyclic sulfamoyl fluorides: building blocks for the SuFEx chemistry. Eur. J. Org. Chem. 2024, 27(42), e202400611. DOI: 10.1002/ejoc.202400611.
Grygorenko, O. O.; Melnykov, K. P. Fluorinated building blocks in drug design: new pathways and targets. Future Med. Chem. 2024, 16(14), 1375–1378. DOI: 10.1080/17568919.2024.2379229.
Generation of multimillion chemical space based on the parallel Groebke–Blackburn–Bienaymé reaction Govor, E. V.; Naumchyk, V.; Nestorak, I.; Radchenko, D. S.; Dudenko, D.; Moroz, Y. S.; Kachkovsky, O. D.; Grygorenko, O. O. Beilstein J. Org. Chem. 2024, 20, 1604–1613. DOI: 10.3762/bjoc.20.143.
Chernykh, A. V.; Vashchenko, B. V.; Shishkina, S. V.; Volochnyuk, D. M.; Grygorenko, O. O. 3-Substituted 6-azabicyclo[3.1.1]heptanes: nonclassical piperidine isosteres for drug discovery. J. Org. Chem. 2024, 89(15), 10440–10450. DOI: 10.1021/acs.joc.4c00326.
Pidvyshennyi, O.; Melnykov, K. P.; Liashuk, O.; Lesyk, D.; Holota, Y.; Borysko, P.; Grygorenko, O. O. Acidity of saturated (hetero)cyclic α-fluoro carboxylic acids and lipophilicity of their amide derivatives. J. Fluorine Chem. 2024, 278, 110316. DOI: 10.1016/j.jfluchem.2024.110316.
Pahl, A.; Grygorenko, O. O.; Kondratov, I. S.; Waldmann, H. Identification of readily available pseudo-natural products. RSC Med. Chem. 2024, 15, 2709–2717. DOI: 10.1039/D4MD00310A.
Marych, D.; Bilenko, V.; Ilchuk, Y. V.; Kinakh, S.; Soloviov, V.; Yatsymyrskiy, A.; Liashuk, O.; Shishkina, S.; Komarov, I. V.; Grygorenko, O. O. Synthesis and physicochemical evaluation of tetrafluorinated GABA analogue. J. Fluorine Chem. 2024, 277, 110307. DOI: 10.1016/j.jfluchem.2024.110307.
Dubina, T. F.; Kosarevych, A. V.; Kucher, O. V.; Sosunovych, B. S.; Smolii, O. B.; Vashchenko, B. V.; Grygorenko, O. O. Synthesis and reactions of novel imidazo[4,5-b]pyridine building blocks. Chem. Heterocycl. Compds 2024, 60(3/4), 175–182. DOI: 10.1007/s10593-024-03315-1.
Sosunovych, B. S.; Timokhin, O. S.; Kucher, O. V.; Demianyk, N. Y.; Hys, D. V.; Zvarych, Y. A.; Smolii, O. B.; Vashchenko, B. V.; Grygorenko, O. O. Synthesis and enzymatic resolution of novel analogs of alicyclic and heterocyclic mandelic acid derivatives. Tetrahedron 2024, 161, 134068. DOI: 10.1016/j.tet.2024.134068.
Malashchuk, A.; Demchuk, O. P.; Razhik, B. V.; Holumbievskyi, V. O.; Kudryk, O. V.; Chernykh, A. V.; Hryshchuk, O. V.; Sosunovych, B. S.; Volochnyuk, D. M.; Vashchenko, B. V.; Grygorenko, O. O. 2- and 3-Fluorocyclobutane building blocks for organic and medicinal chemistry. Eur. J. Org. Chem. 2024, 27(32), e202400493. DOI: 10.1002/ejoc.202400493.
Holovach, S.; Poroshyn, I.; Melnykov, K. P.; Liashuk, O. L.; Pariiska, O. O.; Kolotilov, S. V.; Rozhenko, A. B.; Volochnyuk, D. M.; Grygorenko, O. O. Parallel Minisci reaction of gem-difluorocycloalkyl building blocks. ACS Org. Inorg. Au 2024, 4(4), 424–431. DOI: 10.1021/acs.oprd.3c00454.
Liashuk, O. S.; Demchuk, O. P.; Hryshchuk, O. V.; Grygorenko, O. O. 2,5-Dihydro-1H-pyrrol-3-yl boronic derivatives: multigram synthesis and coupling reactions. Org. Process Res. Dev. 2024, 28(4), 1061–1069. DOI: 10.1021/acs.oprd.3c00454 (Featured by Cover Picture).
Slobodyanyuk, E.; Tarasiuk, I.; Pasichnyk, T.; Volochnyuk, D.; Sibgatulin, D.; Grygorenko, O. O. (Diazomethyl)dimethylphosphine oxide – a diazoalkane reagent for [3+2] cycloadditions. Chem. Eur. J. 2024, 30 (23), e202303972. DOI: 10.1002/chem.202303972 (Featured by Cover Picture).
Naumchyk, V.; Andriashvili, V. A.; Radchenko, D. S.; Dudenko, D.; Moroz, Y. S.; Tolmachev, A. A.; Zhersh, S.; Grygorenko, O. O. SNAr or sulfonylation? Chemoselective amination of halo(het)arene sulfonyl halides for synthetic applications and ultralarge compound library design. J. Org. Chem. 2024, 89 (5), 3161–3183. DOI: 10.1021/acs.joc.3c02636.
Krokhmaliuk, Y.; Kleban, I.; Rassukana, Y. V.; Grygorenko, O. O. Organocatalytic decarboxylative borylation of cyclopropane N-hydroxyphthalimide esters. J. Org. Chem. 2024, 89(4), 2771–2776. DOI: 10.1021/acs.joc.3c02247.
Grygorenko, O. O.; Lampeka, R. D.; Chebanov, V. A.; Kovalenko, M. V.; Wuttke, S. Chemistry in Ukraine. Chem. Rec. 2024, 24 (2), e202400008. DOI: 10.1002/tcr.202400008 (Featured by Cover Picture).
Semeno, V. V.; Vasylchenko, V. O.; Fesun, I. M.; Ruzhylo, L. Yu.; Kipriianov, M. O.; Melnykov, K. P.; Skreminskyi, A.; Iminov, R.; Mykhailiuk, P.; Vashchenko, B. V.; Grygorenko, O. O. Bicyclo[m.n.k]alkane building blocks as promising benzene and cycloalkane isosteres: multigram synthesis, physicochemical and structural characterization. Chem. Eur. J. 2024, 30 (12), e202303859. DOI: 10.1002/chem.202303859.
Liashuk, O. S., Ryzhov, I. A., Hryshchuk, O., Volovenko, Y. M., Grygorenko, O. O. [3+2] cycloaddition of alkynyl boronates and in situ generated azomethine ylide. Chem. Eur. J. 2024, 30 (11), e202303504. DOI: 10.1002/chem.202303504.
Kihakh, S.; Melnykov, K. P.; Bilenko, V.; Trofymchuk, S.; Liashuk, O. S.; Grygorenko, O. O. gem-Difluoro-3-azabicyclo[3.n.1]alkanes and their derivatives – bicyclic fluorinated piperidine isosteres for drug discovery. Eur. J. Org. Chem. 2024, 27 (2), e202300937. DOI: 10.1002/ejoc.202300937.
Smyrnov, O.; Melnykov, K. P.; Semeno, V.; Liashuk, O. S.; Grygorenko, O. O. α-CF3-Substituted saturated bicyclic amines: advanced building blocks for medicinal chemistry. Eur. J. Org. Chem. 2024, 27 (1), e202300935. DOI: 10.1002/ejoc.202300935 (Featured by Cover Picture).
Komarov, I. V.; Bugrov, V. A.; Cherednichenko, A.; Grygorenko, O. O. Insights into modeling approaches in chemistry: assessing ligand-protein binding thermodynamics based on rigid-flexible model molecules. Chem. Rec. 2024, 24 (2), e202300276. DOI: 10.1002/tcr.202300276.
Liashuk, O. S.; Andriashvili, V. A.; Tolmachev, A. O; Grygorenko, O. O. Chemoselective reactions of functionalized sulfonyl halides. Chem. Rec. 2024, 24 (2), e202300256. DOI: 10.1002/tcr.202300256.
Sosunovych, B.; Vashchenko, B. V.; Andriashvili, V. A.; Grygorenko, O. O. Bypassing sulfonyl halides: synthesis of sulfonamides from other sulfur-containing building blocks. Chem. Rec. 2024, 24 (2), e202300258. DOI: 10.1002/tcr.202300258.
Omelian, T. V.; Ostapchuk, E. N.; Dobrydnev, A. V.; Grygorenko, O. O. Expedient synthesis of 6-functionalized azabicyclo[4.1.0]heptane derivatives. ChemistrySelect 2023, 8, e202304331. DOI: 10.1002/slct.202304331.
Анхім, М. О.; Андріашвілі, В. А.; Жерш, С. А.; Толмачов, А. О.; Григоренко, О. О. Синтез насичених нітрогеновмісних гетероциклічних сульфінатів. Допов. Нац. Акад. Наук Укр. 2023 (5), 26–36. DOI: 10.15407/dopovidi2023.05.026.
Moroz, B.; Melnykov, K. P.; Holovach, S.; Filatov, A. A.; Raievskyi, O.; Platonov, M.; Liashuk, O.; Volochnyuk, D. M.; Grygorenko, O. O. 6,6-Difluorobicyclo[3.1.0]hexane as a rigidified 4,4-difluorocyclohexane mimetic: multigram synthesis, physicochemical characterization, and incorporation into Maraviroc analogs. J. Fluorine Chem. 2023, 272, 110215. DOI: 10.1016/j.jfluchem.2023.110215.
Holovach, S. M.; Melnykov, K. P.; Poluektova, M. S.; Rozhenko, O. B.; Grygorenko, O. O. Incorporation of gem-difluorocycloalkyl substituents into heterocycles via the Levin’s “nitrogen deletion” strategy. J. Org. Pharm. Chem. 2023, 21(3), 11–16. DOI: 10.24959/ophcj.23.278321.
Malets, Y. S.; Vashchenko, B. V.; Moskvina, V. S.; Golovchenko, O. V.; Brovarets, V. S.; Grygorenko, O. O. Parent 5(7)-azachromones and their partially hydrogenated derivatives: synthesis and physicochemical properties. Chem. Heterocycl. Compds 2023, 59, 494-499. DOI: 10.1007/s10593-023-03221-y.
Verner, E. V.; Vashchenko, B. V.; Sosunovych, B. V.; Frolov, A. I.; Subotin, V. V.; Kozytskiy, A.; Grygorenko, O. O.; Ryabukhin, S. V.; Volochnyuk, D. M.; Kolotilov, S. V. Novel approach to saturated amino acid derivatives with isolated (hetero)cyclic rings via the hydrogenation of dienes. Chem. Heterocycl. Compds 2023, 59, 442–448. DOI: 10.1007/s10593-023-03214-x.
Grygorenko, O. O. Thematic issue “Ukrainian impact on heterocyclic chemistry after the three decades of independence”. Chem. Heterocycl. Compds 2023, 59, 331. DOI: 10.1007/s10593-023-03202-1.
Nosik, P. S.; Mykhalchuk, Y. V.; Liashuk, O. S.; Kysil, A. I.; Grygorenko, O. O. Two-step synthesis of trisubstituted trifluoromethyl cyclopropanes using in situ generated CF3CHN2. ChemistrySelect 2023, 8, e202302143. DOI: 10.1002/slct.202302143.
Liashuk, O. S.; Grygorenko, O. O.; Volovenko, Y. M.; Waser, J. Photochemical [2+2] cycloaddition of alkynyl boronates. Chem. Eur. J. 2023, 29, e202301650. DOI: 10.1002/chem.202301650.
Melnykov, K. P.; Nazar, K.; Smyrnov, O.; Skreminskyi, A.; Pavlenko, S.; Klymenko-Ulianov, O.; Shishkina, S.; Volochnyuk, D. M.; Grygorenko, O. O. Mono- and difluorinated saturated heterocyclic amines for drug discovery: systematic study of their physicochemical properties. Chem. Eur. J. 2023, 29, e202301383. DOI: 10.1002/chem.202301383.
Sierov, D. I.; Dzhulai, I. V.; Siryk, K. I.; Shvydenko, K. V.; Shvydenko, T. I.; Nazarenko, K.; Kostyuk, A.; Liashuk, O. S.; Grygorenko, O. O. Multigram synthesis of α- and γ-((hetera)cyclo)alkylpyridines via α-arylation of (hetero)aliphatic nitriles. Eur. J. Org. Chem. 2023, 26, e202300538. DOI: 10.1002/ejoc.202300538 (Featured by Cover Picture).
Chernykh, A. V.; Kudryk, O. V.; Olifir, O. S.; Dobrydnev, A. V.; Rusanov, E.; Moskvina, V. S.; Volochnyuk, D. M.; Grygorenko, O. O. Expanding the chemical space of 1,2-difunctionalized cyclobutanes. J. Org. Chem. 2023, 88, 3109–3131. DOI: 10.1021/acs.joc.2c02892.
Demchuk, O. P.; Grygorenko, O. O. The synthesis and acid-base properties of α-(fluoromethyl)- and α-(difluoromethyl)-substituted cyclobutane building blocks. J. Org. Pharm. Chem. 2023, 21 (2), 3–9. DOI: 10.24959/ophcj.23.274017.
Bondarenko, A. V.; Kozyriev, Y. K.; Vashchenko , B. V.; Grygorenko, O. O. Synthesis of 2,2-disubstituted and 2,2,3-trisubstituted 1,4-dioxane-derived building blocks. Synthesis 2023, 55, 3402–3414. DOI: 10.1055/a-2092-9205.
Chalyk, B. A.; Izhyk, V. V.; Danyleiko, K.; Sosunovych, B.; Vashchenko, B. V.; Zginnyk, O.; Olshanska, V.; Teodorovic, P.; Biitseva, A. V.; Volochnyuk, D. M.; Grygorenko, O. O. Synthesis of spirocyclic and fused isoxazoline building blocks. Eur. J. Org. Chem. 2023, e202300282. DOI: 10.1002/ejoc.202300282.
Demchuk, O. P.; Bobovskyi, B. V.; Vashchenko, B. V.; Hryshchuk, O. V.; Skreminskyi, A.; Chernykh, A. V.; Moskvina, V. S.; Hordiyenko, O. V.; Volochnyuk, D. M.; Grygorenko, O. O. 3-Fluoroalkyl (CF3, CHF2, CH2F) cyclobutane-derived building blocks for medicinal chemistry: synthesis and physicochemical properties. Eur. J. Org. Chem. 2023, e202300292. DOI: 10.1002/ejoc.202300292 (Featured by Cover Picture).
Subotin, V. V.; Vashchenko, B. V.; Asaula, V. M.; Verner, E. V.; Ivanytsya, M. O.; Shvets, O.; Ostapchuk, E. N.; Grygorenko, O. O.; Ryabukhin, S. V.; Volochnyuk, D. M.; Kolotilov, S. V. Screening of palladium/charcoal catalysts for hydrogenation of diene carboxylates with isolated-rings (hetero)aliphatic scaffold. Molecules 2023, 28, 1201. DOI: 10.3390/molecules28031201.
Kvasha, D. A.; Deviatkin, A.; Poturai, A. S.; Nosik, P. S.; Kyrylchuk, A. A.; Suikov, S.; Rozhenko, A. B.; Volochnyuk, D. M.; Grygorenko, O. O. Metal-free C–H difluoromethylation of imidazoles with the Ruppert–Prakash reagent. J. Org. Chem. 2023, 88, 163–171. DOI: 10.1021/acs.joc.2c02041.
Dovhaniuk, N.; Blahun, O. P.; Sosunovych, B.; Redka, M. O.; Vashchenko, B. V.; Grygorenko, O. O. Regioselective and scalable total synthesis of licochalcone C and related licoagrochalcones. Eur. J. Org. Chem. 2023, 26, e202201226. DOI: 10.1002/ejoc.202201226.
Holovach, S.; Melnykov, K. P.; Poroshyn, I.; Iminov, R. T.; Dudenko, D.; Kondratov, I. S.; Levin, M.; Grygorenko, O. O. C–C coupling through Nitrogen deletion: application to library synthesis. Chem. Eur. J. 2023, 29, e202203470. DOI: 10.1002/chem.202203470. (Featured by Cover Picture).
Kondratov, I. S.; Moroz, Y. S.; Gorgulla, C.; Grygorenko, O. O.; Komarov, I. V.; Wagner, G.; Tolmachev, A. A. Challenges for chemistry in Ukraine after the war: Ukrainian science requires rebuilding and support. Proc. Natl. Acad. Sci. USA 2022, 119, e2210686119. DOI: 10.1073/pnas.2210686119.
Yarish, D.; Garkot, S.; Grygorenko, O. O.; Radchenko, D. S.; Moroz, Y. S.; Gurbych, O. Advancing molecular graphs with descriptors for the prediction of chemical reaction yields. J. Comput. Chem. 2022, 44, 76–92. DOI: 10.1002/jcc.27016.
Homon, A. A.; Shynder, L. V.; Demchuk, O. P.; Hryshchuk, O. V.; Kondratov, I. S.; Gerus, I. I.; Grygorenko, O. O. Synthesis of 1,3-bifunctional cyclobutane derivatives with α-CHF2/CF3 group – advanced building blocks for medicinal chemistry. J. Fluorine Chem. 2022, 263, 110041. DOI: 10.1016/j.jfluchem.2022.110041
Chernykh, A. V.; Aloshyn, D.; Kuchkovska, Yu. O.; Daniliuc, C. G.; Tolmachova, N. A.; Kondratov, I. S.; Zozulya, S.; Grygorenko, O. O.; Haufe, G. Impact of β-perfluoroalkyl substitution of proline on the proteolytic stability of its peptide derivatives. Org. Biomol. Chem. 2022, 20, 9337–9350. DOI: 10.1039/D2OB01430K.
Grygorenko, O. O.; Melnykov, K. P.; Holovach, S.; Demchuk, O. Fluorinated cycloalkyl building blocks for drug discovery. ChemMedChem 2022, 17, e202200365. DOI: 10.1002/cmdc.202200365.
Homon, A. A.; Shynder, L.; Hryshchuk, O. V.; Grygorenko, O. O.; Kondratov, I. S. Synthesis of novel α-trifluoromethyl cyclobutane-containing building blocks. Ukr. Bioorg. Acta 2022, 17, 82–86. DOI: 10.15407/bioorganica2022.01.082.
Vashchenko, B. V.; Grygorenko, O. O.; Stepaniuk, O. O. Heterocyclizations of β-alkoxy, β-diaminoalkyl, and related β-functionalized enones (enals) with NCN binucleophiles. Ukr. Bioorg. Acta 2022, 17, 56–72. DOI: 10.15407/bioorganica2022.01.056.
Liashuk, O. S.; Ryzhov, I. A.; Hryshchuk, O. V.; Vashchenko, B. V.; Melnychuk, P. V.; Volovenko, Y. M.; Grygorenko, O. O. Synthesis of 3-borylated pyrrolidines by 1,3-dipolar cycloaddition of alkenyl boronates and azomethine ylide. Chem. Eur. J. 2022, e202202117. DOI: 10.1002/chem.202202117 (Featured by Cover Picture).
Melnykov, K. P.; Voloshyna, O. V.; Vashchenko, B. V.; Demchuk, O. P.; Hryshchuk, O. V.; Grygorenko, O. O. 4,4-Difluorospiro[2.2]pentan-1-yl – a fluorinated substituent to expand the synthetic and medicinal chemists’ toolbox. Eur. J. Org. Chem. 2022, e202200863. DOI: 10.1002/ejoc.202200863 (Featured by Cover Picture).
Melnykov, K. P.; Tavlui, O.; Skreminskiy, A.; Kuchkovska, Y. O.; Grygorenko, O. O. Impact of fluoroalkyl substituents on physicochemical properties of saturated heterocyclic amines. Chem. Eur. J. 2022, e202201601. DOI: 10.1002/chem.202201601.
Kondratov, I. S.; Moroz, Y. S.; Grygorenko, O. O.; Tolmachev, A. A. The Ukrainian factor in early-stage drug discovery in the context of russian invasion: the case of Enamine Ltd. ACS Med. Chem. Lett. 2022, 13, 992–996. DOI: 10.1021/acsmedchemlett.2c00211.
Andriashvili, V. A.; Zhersh, S.; Tolmachev, A. A.; Grygorenko, O. O. Synthesis of α-C-stereochemically pure secondary sulfonamides. J. Org. Chem. 2022, 87, 6237–6246. DOI: 10.1021/acs.joc.2c00480 (Featured by Cover Picture).
Chernykh, A. V.; Chernykh, A. V.; Radchenko, D. S.; Chheda, P. R.; Rusanov, E. B.; Grygorenko, O. O.; Spies, M. A.; Volochnyuk, D. M.; Komarov, I. V. A stereochemical journey around spirocyclic glutamic acid analogs. Org. Biomol. Chem. 2022, 20, 3183–3200. DOI: 10.1039/D2OB00146B.
Khomenko, D. M.; Doroshchuk, R. O.; Ohorodnik, Yu. M.; Ivanova, H. V.; Zakharchenko, B. V.; Raspertova, I. V.; Vaschenko, O. V.; Dobrydnev, A. V.; Grygorenko, O. O.; Lampeka, R. D. Expanding the chemical space of 3(5)-functionalized 1,2,4-triazoles. Chem. Heterocycl. Compds 2022, 58, 116–128. DOI: 10.1007/s10593-022-03064-z.
Fedinchyk, A.; Herasymchuk, M.; Smirnov, O. V.; Melnykov, K. P.; Yarmoliuk, D. V.; Kyrylchuk, A. A.; Grygorenko, O. O. Fluorine-containing sp³-enriched building blocks for the multigram synthesis of fluorinated pyrazoles and pyrimidines with (hetero)aliphatic substituents. Eur. J. Org. Chem. 2022, e202200274. DOI: 10.1002/ejoc.202200274 (Featured by Cover Picture).
Holovach, S.; Melnykov, K. P.; Skreminskiy, A.; Herasymchuk, M.; Tavlui, O.; Aloshyn, D.; Borysko, P.; Rozhenko, A. B.; Ryabukhin, S. V.; Volochnyuk, D. M.; Grygorenko, O. O. Effect of gem-difluorination on the key physicochemical properties relevant to medicinal chemistry: the case of functionalized cycloalkanes. Chem. Eur. J. 2022, e202200331. DOI: 10.1002/chem.202200331 (Featured by Cover Picture).
Radchenko, O. B.; Radchenko, D. S.; Konovets, A. I.; Grygorenko, O. O. Water determination in aromatic sulfonyl chlorides using the Karl Fischer titration method: scope and limitations. ChemistrySelect 2022, 7, e202102749. DOI: 10.1002/slct.202102749.
Grygorenko, O. O.; Moskvina, V. S.; Kleban, I.; Hryshchyk, O. V. Synthesis of saturated and partially saturated heterocyclic boronic derivatives. Tetrahedron 2022, 104, 132605. DOI: 10.1016/j.tet.2021.132605.
Chalyk, B. A.; Khutorianskyi, A. V.; Vashchenko, B. V.; Danyleiko, K.; Grynyova, A.; Osipova, A. O.; Kozytskiy, A.; Syniuchenko, D.; Tsymbaliuk, A.; Gavrilenko, K. S.; Biitseva, A. V.; Volochnyuk, D. M.; Komarov, I. V.; Grygorenko, O. O. Reductive recyclization of sp3-enriched functionalized isoxazolines into hydroxy lactams. J. Org. Chem. 2022, 87, 1001–1018. DOI: 10.1021/acs.joc.1c02301 (Featured by Cover Picture).
Radchenko, D. S.; Naumchyk, V. S.; Dziuba, I.; Kyrylchuk, A. A.; Gubina, K. E.; Moroz, Y. S.; Grygorenko, O. O. One-pot parallel synthesis of 1,3,5-trisubstituted 1,2,4-triazoles. Mol. Divers. 2022, 26, 993–1004. DOI: 10.1007/s11030-021-10218-2.
Grygorenko, O. O. Enamine Ltd.: the science and business of organic chemistry and beyond. Eur. J. Org. Chem. 2021, 6474–6477. DOI: 10.1002/ejoc.202101210. (Featured by Cover Picture).
Vaskevych, A. I.; Savinchuk, N. O.; Vaskevych, R. I.; Rusanov, E. B.; Grygorenko, O. O.; Vovk, M. V. The PIFA-initiated oxidative cyclization of 2-(3-butenyl)quinazolin-4(3H)-ones – an efficient approach to 1-(hydroxymethyl)-2,3-dihydropyrrolo[1,2-a]quinazolin-5(1H)-ones. Belstein J. Org. Chem. 2021, 17, 2787–2794. DOI: 10.3762/bjoc.17.189.
Volochnyuk, D. M.; Gorlova, A. O.; Grygorenko, O. O. Saturated boronic acids, boronates, and trifluoroborates: an update on their synthetic and medicinal chemistry. Chem. Eur. J. 2021, 27, 15277–15326. DOI: 10.1002/chem.202102108 (Featured by Cover Picture).
Grygorenko, O. O.; Volochnyuk, D. M.; Vashchenko, B. V. Emerging building blocks for medicinal chemistry: recent synthetic advances. Eur. J. Org. Chem. 2021, 6478–6510. DOI: 10.1002/ejoc.202100857 (Featured by Cover Picture)
Malashchuk, A.; Chernykh, A. V.; Dobrydnev, A. V.; Grygorenko, O. O. Fluorine-labelled spiro[3.3]heptane-derived building blocks: is single fluorine the best? Eur. J. Org. Chem. 2021, 4897–4910. DOI: 10.1002/ejoc.202100804 (Featured by Cover Picture).
Fedyk, A.; Slobodyanyuk, E. Y.; Stotska, O.; Vashchenko, B. V.; Volochnyuk, D.; Sibgatulin, D. A.; Tolmachev, A. A.; Grygorenko, O. O. Heteroaliphatic dimethylphosphine oxide building blocks: synthesis and physico-chemical properties. Eur. J. Org. Chem. 2021, 6598–6610. DOI: 10.1002/ejoc.202100581.
Homon, A. A.; Hryshchuk, O. V.; Mykhailenko, O. V.; Vashchenko, B. V.; Melnykov, K. P.; Michurin, O.; Daniliuk, C. G.; Gerus, I. I.; Kovtunenko, V. O.; Kondratov, I.; Grygorenko, O. O. 4‐(Di‐/trifluoromethyl)‐2‐heterabicyclo[2.1.1]hexanes: advanced fluorinated phenyl isosteres and proline analogues. Eur. J. Org. Chem. 2021, 6587–6597. DOI: 10.1002/ejoc.202100414.
Logvinenko, I. G.; Kondratov, I. S.; Dobrydnev, A. V.; Kozytskiy, A. V.; Grygorenko, O. O. Synthesis and reactions of ω-CF3O-substituted aliphatic sulfonyl chlorides. J. Fluorine Chem. 2021, 246, 109799. DOI: 10.1016/j.jfluchem.2021.109799.
Popov, I. O.; Popova, M. V.; Omelian, T. V.; Dobrydnev, A. V.; Konovalova, I. S.; Shishkina, S. V.; Grygorenko, O. O.; Volovenko, Yu. M. Reaction of dialkylaminosulfur trifluorides with β-keto sulfonamides and β-keto sulfones. ChemistrySelect 2021, 6, 3084–3088. DOI: 10.1002/slct.20210086.
Kharchenko, S. H.; Iampolska, A. D.; Radchenko, D. S.; Vashchenko, B. V.; Voitenko, Z. V.; Grygorenko, O. O. A diversity-oriented approach to large libraries of artificial macrocycles. Eur. J. Org. Chem. 2021, 2313–2330. DOI: 10.1002/ejoc.202100195 (Featured by Cover Picture).
Khomenko, D. M.; Doroshchuk, R. O.; Ivanova, H. V.; Zakharchenko, B. V.; Raspertova, I. V.; Vaschenko, O. V.; Shova, S.; Dobrydnev, A. V.; Moroz, Y. S.; Grygorenko, O. O.; Lampeka, R. D. Synthesis of α-substituted 2-(1H-1,2,4-triazol-3-yl)acetates and 5-amino-2,4-dihydro-3H-pyrazol-3-ones via the Pinner strategy. Tetrahedron Lett. 2021, 62, 152956. DOI: 10.1016/j.tetlet.2021.152956.
Malashchuk, A.; Chernykh, A. V.; Perebyinis, M. Y.; Komarov, I. V.; Grygorenko, O. O. Monoprotected diamines derived from 1,5-disubstituted (aza)spiro[2.3]hexane scaffolds. Eur. J. Org. Chem. 2021, 6577–6586. DOI: 10.1002/ejoc.202001614.
Herasymchuk, M.; Melnykov, K. P.; Yarmoliuk, D. V.; Serhiichuk, D.; Rotar, V.; Pukhovoi, T.; Kuchkovska, Yu. O.; Holovach, S.; Volochnyuk, D. M.; Ryabukhin, S. V.; Grygorenko, O. O. Last of the gem‐difluorocycloalkanes 2: synthesis of fluorinated cycloheptane building blocks. Eur. J. Org. Chem. 2021, 6568–6576. DOI: 10.1002/ejoc.202001530.
Gurbanov, R.; Sokolov, A.; Golovach, S.; Melnykov, K.; Dobrydnev, A. V.; Grygorenko, O. O. Synthesis of sp3-enriched β-fluoro sulfonyl chlorides. Synthesis 2021, 53, 1771–1784. DOI: 10.1055/s-0040-1706101.
Demchuk, O. P.; Hryshchuk, O. V.; Vashchenko, B. V.; Trofymchuk, S. A.; Melnykov, K. P.; Skreminskiy, A.; Volochnyuk, D. M.; Grygorenko, O. O. Fluoroalkyl-containing 1,2-disubstituted cyclobutanes: advanced building blocks for medicinal chemistry. Eur. J. Org. Chem. 2021, 87–95. DOI: 10.1002/ejoc.202001345 (Featured by a Cover Picture).
Kleban, I.; Krokhmaliuk, Ye.; Reut, S.; Shuvakin, S.; Pendyukh, V. V.; Khyzhan, O. I.; Yarmoliuk, D. S.; Tymtsunik, A.; Rassukana, Yu. V.; Grygorenko, O. O. Multigram synthesis of heterabicyclo[n.1.0]alkan-1-yl trifluoroborates. Eur. J. Org. Chem. 2021, 6551–6560. DOI: 10.1002/ejoc.202000977.
Olifir, O. S.; Chernykh, A. V.; Dobrydnev, A. V.; Grygorenko, O. O.; Moroz, Yu. S.; Voitenko, Z. V.; Radchenko, D. S. Multigram synthesis of advanced 6,6‐difluorospiro[3.3]heptane‐derived building blocks. Eur. J. Org. Chem. 2021, 6541–6550. DOI: 10.1002/ejoc.202000432.
Stepannikova, K. O.; Vashchenko, B. V.; Grygorenko, O. O.; Gorichko, M. V.; Cherepakha, A. Yu.; Moroz, Yu. S.; Volovenko, Yu. M.; Zhersh, S. Synthesis of spirocyclic β‐ and γ‐sultams by one‐pot reductive cyclization of cyanoalkylsulfonyl fluorides. Eur. J. Org. Chem. 2021, 6530–6540. DOI: 10.1002/ejoc.202000351.
Yampolska H., Kharchenko S., Kozytskyi A., Kyrylchuk A., Voitenko Z., Grygorenko O. Synthesis of a 1,2,3-triazole-containing macrocycle based on the “click chemistry” reaction and analysis of its planar chirality using NMR and DFT calculations. Вісник Київського національного університету імені Тараса Шевченка. Хімія 2020, 57(1), С. 55–61. DOI: 10.17721/1728-2209.2020.1(57).14.
Феськов, І. О.; Кондратов, І. С.; Кучковська, Ю. О.; Наумчик, В. С.; Онопченко, О. В.; Григоренко, О. О. Синтез цис– та транс-3-(4-гідроксифеніл)циклобутанкарбонових кислот та дослідження їх похідних як лігандів рецептора GPR-40. Журн. Орг. Фарм. Хім. 2020, 18(4), 14–22. DOI: 10.24959/ophcj.20.210383.
Grygorenko, O. O.; Radchenko, D. S.; Dziuba, I.; Chuprina, A.; Gubina, K. E.; Moroz, Y. S. Generating multibillion chemical space of readily accessible screening compounds. iScience 2020, 23, 101681. DOI: 10.1016/j.isci.2020.101681.
Chernykh, A. V.; Olifir, O. S.; Kuchkovska, Yu. O.; Volochnyuk, D. M.; Yarmolchuk, V. S.; Grygorenko, O. O. Fluoroalkyl-substituted cyclopropane derivatives: synthesis and physicochemical properties. J. Org. Chem. 2020, 85, 12692–12702. DOI: 10.1021/acs.joc.0c01848 (Featured by a Cover Picture).
Кохан, С. О.; Тимцунік, А. В.; Москвіна, В. С.; Григоренко, О. О. Підхід до синтезу похідних α,α,α-тризаміщених алкілгідразинів з карбонових кислот. Допов. Нац. Акад. Наук Укр. 2020(7), 72–78. DOI: 10.15407/dopovidi2020.07.072.
Ivon, Ye. M.; Mazurenko, I. V.; Kuchkovska, Yu. O.; Voitenko, Z. V.; Grygorenko, O. O. Formyl MIDA boronate: a C1 building block enabling straightforward access to α-functionalized organoboron derivatives. Angew. Chem. Int. Ed. 2020, 18016–18022. DOI: 10.1002/anie.202007651.
Feskov, I. O.; Golub, B. O.; Vashchenko, B. V.; Levterov, V. V.; Kondratov, I. S.; Grygorenko, O. O.; Haufe, G. GABA analogues and related mono-/bifunctional building blocks derived from the fluorocyclobutane scaffold. Eur. J. Org. Chem. 2020, 4755–4767. DOI: 10.1002/ejoc.202000733.
Grygorenko, O. O.; Vashchenko, B. V.; Blahun, O. P.; Zhersh, S. Saturated bicyclic sultams. Eur. J. Org. Chem. 2020, 5787–5800. DOI: 10.1002/ejoc.202000603.
Grygorenko, O. O.; Moskvina, V. S.; Hryshchuk, O. V.; Tymtsunik, A. V. Cycloadditions of alkenylboronic derivatives. Synthesis 2020, 52, 2761–2780. DOI: 10.1055/s-0040-1707159.
Грищук, О. В.; Тимцунік, А. В.; Москвіна, В. С.; Григоренко, О. О. Перспективи введення арильних замісників у 1,3-функціоналізований циклобутановий цикл за реакціями С–С крос-сполучення трифлуороборатів. Допов. Нац. Акад. Наук Укр. 2020 (5), 61–69. DOI: 10.15407/dopovidi2020.05.061.
Kleban, I.; Radchenko, D. S.; Tymtsunik, A. V.; Shuvakin, S.; Konovets, A. I.; Rassukana, Yu.; Grygorenko, O. O. Cyclopropyl boronic derivatives in parallel synthesis of sp3-enriched compound libraries. Monatch. Chem. 2020, 151, 953–962. DOI: 10.1007/s00706-020-02619-0.
Hys, V. Y.; Shevchuk, O. I.; Vashchenko, B. V.; Karpenko, O. V.; Gorlova, A. O.; Grygorenko, O. O. Functionalization of 2-trifluoromethyl-1H-pyrrole: a convenient entry into advanced fluorinated building blocks including all isomeric 2-(trifluoromethyl)prolines. Eur. J. Org. Chem. 2020, 3896–3905. DOI: 10.1002/ejoc.202000519.
Blahun, O. P.; Melnychenko, H.; Kuchkovska, Yu. O.; Zhersh, S.; Tolmachev, A. A.; Grygorenko, O. O. Synthesis of functionalized bridged bicyclic sulfonamides with a bridgehead Nitrogen atom. Eur. J. Org. Chem. 2020, 3261–3269. DOI: 10.1002/ejoc.202000314.
Stepaniuk, O. O.; Vashchenko, B. V.; Matvienko, V. O.; Kondratov, I. S.; Tolmachev, A. A.; Grygorenko, O. O. Reactions of cyclic β-alkoxyvinyl α-keto esters with heteroaromatic NCC-binucleophiles. Chem. Heterocycl. Comp. 2020, 56, 377–385. DOI: 10.1007/s10593-020-02670-z.
Hryshchuk, O. V.; Varenyk, A. O.; Yurov, Ye.; Kuchkovska, Yu.; Tymtsunik, A. V.; Grygorenko, O. O. gem-Difluorocyclopropanation of alkenyl trifluoroborates with the CF3SiMe3–NaI system. Eur. J. Org. Chem. 2020, 2217–2224. DOI: 10.1002/ejoc.202000346.
Demchuk, O. P.; Hryshchuk, O. V.; Vashchenko, B. V.; Kozytskiy, A. V.; Tymtsunik, A. V.; Komarov, I. V.; Grygorenko, O. O. Photochemical [2 + 2] cycloaddition of alkenyl boronic derivatives: an entry into 3-azabicyclo[3.2.0]heptane scaffold. J. Org. Chem. 2020, 85, 5927–5940. DOI: 10.1021/acs.joc.0c00265.
Kokhan, S. O.; Valter, Y. B.; Tymtsunik, A. V.; Komarov, I. V.; Grygorenko, O. O. 3-Carboxy-/3-aminobicyclo[1.1.1]pentane-derived sulfonamides and sulfonyl fluorides – advanced bifunctional reagents for organic synthesis and drug discovery. Eur. J. Org. Chem. 2020, 2210–2216. DOI: 10.1002/ejoc.202000303.
Blahun, O. P.; Rozhenko, A. B.; Rusanov, E.; Zhersh, S.; Tolmachev, A. A.; Volochnyuk, D. M.; Grygorenko, O. O. Twisting and turning the sulfonamide bond: synthetic, quantum chemical and crystallographic study. J. Org. Chem. 2020, 85, 5288–5299. DOI: 10.1021/acs.joc.9b03394. (Featured by Cover Picture).
Stepaniuk, O. O.; Rudenko, T. V.; Vashchenko, B. V.; Matvienko, V. O.; Kondratov, I. S.; Tolmachev, A. A.; Grygorenko, O. O. Synthesis of fused pyridine carboxylates by reaction of β-alkoxyvinyl glyoxylates with amino heterocycles. Synthesis 2020, 52, 1915–1926. DOI: 10.1055/s-0039-1707987.
Malashchuk, A.; Chernykh, A. V.; Hurmach, V. V.; Platonov, M. P.; Onopchenko, O.; Zozulya, S.; Daniliuc, C. G.; Dobrydnev, A. V.; Kondratov, I. S.; Moroz, Yu. S.; Grygorenko, O. O. Synthesis, biological evaluation, and modeling studies of 1,3-disubstituted cyclobutane-containing analogs of combretastatin A4. J. Mol. Struct. 2020, 1210, 128025. DOI: 10.1016/j.molstruc.2020.128025.
Omelian, T. V.; Ostapchuk, E. N.; Dobrydnev, A. V.; Malets, Y. S.; Brovarets, V. S.; Grygorenko, O. O. Strategy for the synthesis of 2,2-disubstituted 8-azachromanones via Horner–Wadsworth–Emmons olefination. Chem. Heterocycl. Compd. 2020, 56, 213–218. DOI: 10.1007/s10593-020-02646-z.
Ivon, Ye. M.; Kuchkovska, Y. O.; Voitenko, Z. V.; Grygorenko. O. O. Aliphatic α-boryl-α-bromoketones: synthesis and reactivity. Eur. J. Org. Chem. 2020, 3367–3377. DOI: 10.1002/ejoc.202000078. (Featured by Cover Picture).
Grygorenko, O. O.; Hryshchuk, O. V. Cyclopropylation of heterocyclic cores using cyclopropylboronic derivatives. Chem. Heterocycl. Compds. 2020, 56, 39–41. DOI: 10.1007/s10593-020-02619-2.
Grygorenko, O. O. Synthesis of saturated nitrogen heterocycles by Strecker reaction – nucleophilic cyclization. Tetrahedron Lett. 2020, 61, 151645. DOI: 10.1016/j.tetlet.2020.151645.
Logvinenko, I. G.; Markushyna, Ye.; Kondratov, I. S.; Vashchenko, B. V.; Kliachyna, M.; Tokaryeva, Yu.; Pivnytska, V.; Grygorenko, O. O.; Haufe. G. J. Fluorine Chem. 2020, 231, 109461. DOI: 10.1016/j.jfluchem.2020.109461.
Bugera, M. Ya.; Tarasenko, K. V.; Kondratov, I. S.; Gerus, I. I.; Vashchenko, B. V.; Ivasyshyn, V. E.; Grygorenko, O. O. (Het)aryl difluoromethyl-substituted β-alkoxyenones: synthesis and heterocyclizations. Eur. J. Org. Chem. 2020, 1069–1077. DOI: 10.1002/ejoc.201901833 (Featured by Cover Picture).
Semeno, V. V.; Vasylchenko, V. O.; Vashchenko, B. V.; Lutsenko, D. O.; Iminov, R. T.; Volovenko, O. B.; Grygorenko, O. O. Building the housane: diastereoselective synthesis and characterization of bicyclo[2.1.0]pentane carboxylic acids. J. Org. Chem. 2020, 85, 2321–2337. DOI: 10.1021/acs.joc.9b03044 (Featured by Cover Picture).
Grygorenko, O. O.; Volochnyuk, D. M.; Ryabukhin, S. V.; Judd, D. B. The symbiotic relationship between drug discovery and organic chemistry. Chem. Eur. J. 2020, 26, 1196–1237. DOI: 10.1002/chem.201903232 (Featured by Frontispiece).
Geraschenko, O. V.; Solomin, V. V.; Vashchenko, B. V.; Khodakivskyi, P.; Tolmachev, A. A.; Grygorenko, O. O. Synthesis and chemical transformations of diazolyl α,α-difluoroacetates. J. Fluorine Chem. 2020, 229, 109407. DOI: 10.1016/j.jfluchem.2019.109407.
Malets, Y. S.; Moskvina, V. S.; Grygorenko, O. O.; Brovarets, V. S. Synthesis of azachromones and azachromanones. Chem. Heterocycl. Compd. 2019, 55, 1007–1012. DOI: 10.1007/s10593-019-02570-x.
Chalyk, B. A.; Khutorianskyi, A.; Lysenko, A.; Fil, Yu.; Kuchkovska, Yu. O.; Gavrilenko, K. S.; Bakanovych, I.; Moroz, Yu. S.; Gorlova, A. O.; Grygorenko, O. O. Regioselective synthesis of functionalized 3- or 5-fluoroalkyl isoxazoles and pyrazoles from fluoroalkyl ynones and binucleophiles. J. Org. Chem. 2019, 84, 15212–15225. DOI: 10.1021/acs.joc.9b02258.
Hryshchuk, O. V.; Yurov, Ye. Yu.; Tymtsunik, A. V.; Kovtunenko, V. O.; Komarov, I. V.; Grygorenko, O. O. Multigram synthesis and C–C/C–N couplings of functionalized 1,2‐disubstituted cyclopropyltrifluoroborates. Adv. Synth. Catal. 2019, 361, 5428–5439. DOI: 10.1002/adsc.201900879.
Chalyk, B. A.; Hrebeniuk, K. V.; Fil, Yu. V.; Gavrilenko, K. S.; Rozhenko, A. B.; Vashchenko, B. V.; Borysov, O. V.; Biitseva, A. V.; Lebed., P. S.; Bakanovych, Iu.; Moroz, Yu. S.; Grygorenko, O. O. Synthesis of 5-(fluoroalkyl)isoxazole building blocks by regioselective reactions of functionalized halogenoximes. J. Org. Chem. 2019, 84, 15877–15899. DOI: 10.1021/acs.joc.9b02264 (Featured by Cover Picture).
Grygorenko, O. O.; Kokhan, S. O. Hetaryl-substituted bicyclo[1.1.1]pentanes. Chem. Heterocycl. Compd. 2019, 55, 933–935. DOI: 10.1007/s10593-019-02558-7.
Sokolenko, Ye. M.; Yurov, Ye. Yu.; Vashchenko, B. V.; Hryshchuk, O. V.; Filimonova, Yu.; Ostapchuk, E. N.; Artemenko, A.; Zaremba, O. V.; Grygorenko, O. O. Far away from flatland. Synthesis and molecular structure of di- and tri-hetera[3.3.n]propellanes – advanced analogues of morpholine/piperazine. J. Org. Chem. 2019, 84, 13908–13921. DOI: 10.1021/acs.joc.9b02067.
Blahun, O. P.; Redka, M. O.; Voitenko, Z. V.; Kysil, A. I.; Dobrydnev, A. V.; Grygorenko, O. O. 2,2-Difluorovinyl pinacolborane – a new versatile reagent for the Suzuki–Miyaura reaction. Eur. J. Org. Chem. 2019, 6417–6421. DOI: 10.1002/ejoc.201901118.
Savych, O.; Kuchkovska, Y.; Bogolyubsky, A. V.; Konovets, A. I.; Gubina, K. E.; Pipko, S. E.; Zhemera, A. V.; Grishchenko, A. V.; Khomenko, D. N.; Brovarets, V.; Doroschuk, R.; Moroz, Y. S.; Grygorenko, O. O. One-pot parallel synthesis of 5-(dialkylamino)tetrazoles. ACS Comb. Sci. 2019, 21, 635–642. DOI: 10.1021/acscombsci.9b00120.
Klingler, F.-M.; Gastreich, M.; Grygorenko, O. O.; Savych, O.; Borysko, P.; Griniukova, A.; Gubina, K. E.; Lemmen, C.; Moroz, Y. S. SAR by space: enriching hit sets from the chemical space. Molecules 2019, 24, 3096. DOI: 10.3390/molecules24173096.
Grygorenko, O. O.; Melnykov, K. P. Saturated spirocyclic nitrogen-containing heterocycles with gem-difluorocycloalkane moieties. Chem. Heterocycl. Compd. 2019, 55, 692–694. DOI: 10.1007/s10593-019-02521-6.
Demchuk, O. P.; Hryshchuk, O. V.; Vashchenko, B. V.; Radchenko, D. S.; Kovtunenko, V. O.; Komarov, I. V.; Grygorenko, O. O. Robust and scalable approach to 1,3-disubstituted pyridylcyclobutanes. Eur. J. Org. Chem. 2019, 5937–5949. DOI: 10.1002/ejoc.201901001.
Slobodyanyuk, E. Y.; Berezowska, Y. L.; Solomin, V. V.; Volochnyuk, D. M.; Rozhenko, A. B.; Ryabukhin, S. V.; Grygorenko. O. O. Formation of 10/12/14-membered rings is favored over 5/6/7-membered. An unexpected result from oxazole chemistry. Eur. J. Org. Chem. 2019, 4962–4967. DOI: 10.1002/ejoc.201900914.
Kovalenko, M.; Yarmoliuk, D. V.; Serhiichuk, D.; Chernenko, D.; Smyrnov, V.; Breslavskyi, A.; Hryshchuk, O. V.; Kleban, I.; Rassukana, Y.; Tymtsunik, A. V.; Tolmachev, A. A.; Kuchkovska, Y. O.; Grygorenko, O. O. The boron‐Wittig olefination of aldehydes and ketones with bis[(pinacolato)boryl]methane: an extended reaction scope. Eur. J. Org. Chem. 2019, 5624–5635. DOI: 10.1002/ejoc.201900648.
Slobodyanyuk, E. Y.; Andriienko, A. A.; Vashchenko, B. V.; Volochnyuk, D. M.; Ryabukhin, S. V.; Grygorenko, O. O. Expanding the chemical space of sp3-enriched 4,5-disubstituted oxazoles via synthesis of novel building blocks. Chem. Heterocycl. Comp. 2019, 55, 421–434. DOI: 10.1007/s10593-019-02475-9.
Subota, A. I.; Ryabukhin, S. V.; Gorlova, A. O.; Grygorenko, O. O.; Volochnyuk, D. M. An approach to the synthesis of 3-substituted piperidines bearing partially fluorinated alkyl groups. J. Fluorine Chem. 2019, 224, 61–66. DOI: 10.1016/j.jfluchem.2019.05.006.
Stepaniuk, O. O.; Rudenko, T. V.; Vashchenko, B. V.; Matvienko, V. O.; Kondratov, I. S.; Tolmachev, A. A.; Grygorenko, O. O. Reaction of β-alkoxyvinyl α-ketoesters with acyclic NCN binucleophiles – scalable approach to novel functionalized pyrimidines. Tetrahedron 2019, 75, 3472–3478. DOI: 10.1016/j.tet.2019.05.005.
Martyloga, O. V.; Myronenko, A.; Tkachenko, A. M.; Matvienko, V. O.; Kuchkovska, Y.; Grygorenko, O. O. Multigram synthesis of functionalized spirocyclic diazirines. Eur. J. Org. Chem. 2019, 3744–3750. DOI: 10.1002/ejoc.201900485.
Subota, A. I.; Lutsenko, A. O.; Vashchenko, B. V.; Volochnyuk, D. M.; Levchenko, V.; Dmytriv, Y. V.; Rusanov, E. B.; Gorlova, A. O.; Ryabukhin, S. V.; Grygorenko, O. O. Scalable and straightforward synthesis of all isomeric (cyclo)alkylpiperidines. Eur. J. Org. Chem. 2019, 3636–3648. DOI: 10.1002/ejoc.201900450. (Featured by a Cover picture).
Melnykov, K. P.; Artemenko, A. N.; Ivanenko, B. O.; Sokolenko, Y. M.; Nosik, P. S.; Ostapchuk, E. N.; Grygorenko, O. O.; Volochnyuk, D. M.; Ryabukhin, S. V. Scalable synthesis of biologically relevant spirocyclic pyrrolidines. ACS Omega 2019, 4, 7498−7515. DOI: 10.1021/acsomega.9b00896.
Chernykh, A. V.; Melnykov, K. P.; Tolmacheva, N. A.; Kondratov, I. S.; Radchenko, D. S.; Daniliuc, C. G.; Volochnyuk, D. M.; Ryabukhin, S. V.; Kuchkovska, Y. O.; Grygorenko, O. O. Last of the gem-difluorocycloalkanes: synthesis and characterization of 2,2-difluorocyclobutyl-substituted building blocks. J. Org. Chem. 2019, 84, 8487–8496. DOI: 10.1021/acs.joc.9b00719. (Featured by a Cover picture).
Grygorenko, O. O.; Nosik, P. S. Recent advances in (hetero)cyclizations of N-vinylazoles. Chem. Heterocycl. Comp. 2019, 55, 196–198. DOI: 10.1007/s10593-019-02440-6.
Nosik, P. S.; Poturai, A. S.; Pashko, M. O.; Melnykov, K. P.; Ryabukhin, S. V.; Volochnyuk, D. M.; Grygorenko, O. O. N‐Difluorocyclopropyl‐substituted pyrazoles: synthesis and reactivity. Eur. J. Org. Chem. 2019, 27, 4311–4319. DOI: 10.1002/ejoc.201900123. (Featured by a Cover picture).
Zasukha, S. V.; Timoshenko, V. M.; Tolmachev, A. A.; Pivnytska, V. O.; Gavrylenko, O.; Zhersh, S.; Shermolovich, Y.; Grygorenko, O. O. Sulfonimidamides and imidosulfuric diamides: compounds from underexplored part of biologically relevant chemical space. Chem. Eur. J. 2019, 25, 6928–6940. DOI: 10.1002/chem.201900440 (Featured by a Cover picture).
Solomin, V. V.; Radchenko, D. S.; Slobodyanyuk, E. Y.; Geraschenko, O. V.; Vashchenko, B. V.; Grygorenko, O. O. Widely exploited, yet unreported: regiocontrolled synthesis and the Suzuki–Miyaura reactions of bromooxazole building blocks. Eur. J. Org. Chem. 2019, 2884–2898. DOI: 10.1002/ejoc.201900032 (Featured by a Cover picture).
Feskov, I. O.; Chernykh, A. V.; Kuchkovska, Y. O.; Daniliuc, C. G.; Kondratov, I. S.; Grygorenko, O. O. 3-((Hetera)cyclobutyl)azetidines – “stretched” analogues of piperidine, piperazine and morpholine: advanced building blocks for drug discovery. J. Org. Chem. 2019, 84, 1363–1371. DOI: 10.1021/acs.joc.8b02822 (Featured by a Cover picture).
Melnykov, K. P.; Volochnyuk, D. M.; Ryabukhin, S. V.; Rusanov, E. B.; Grygorenko, O. O. A conformationally restricted GABA analogue based on octahydro-1H-cyclopenta[b]pyridine scaffold. Amino acids 2019, 51, 255–261. DOI: 10.1007/s00726-018-2660-1.
Nosik, P. S.; Ryabukhin, S. V.; Pashko, M. O.; Grabchuk, G. P.; Grygorenko, O. O.; Volochnyuk, D. M. Synthesis of 1-hetaryl-2,2-difluorocyclopropane-derived building blocks: the case of pyrazoles. J. Fluorine Chem. 2019, 217, 80–89. DOI: 10.1016/j.jfluchem.2018.11.006.
Yarmoliuk, D. V.; Serhiichuk, D.; Smyrnov, V.; Tymtsunik, A. V.; Hryshchuk, O. V.; Kuchkovska, Y.; Grygorenko, O. O. Synthesis of azabicyclo[n.1.0]alkane-derived bifunctional building blocks via the Corey–Chaykovsky cyclopropanation. Tetrahedron Lett. 2018, 59, 4611–4615. DOI: 10.1016/j.tetlet.2018.11.047.
Tolmachova, K. A.; Moroz, Y. S.; Konovets, A.; Platonov, M. O.; Vasylchenko, O. V.; Borysko, P.; Zozulya, S.; Gryniukova, A.; Bogolubsky, A. V.; Pipko, S.; Mykhailiuk, P. K.; Brovarets, V. S.; Grygorenko, O. O. (Chlorosulfonyl)benzenesulfonyl fluorides – versatile building blocks for combinatorial chemistry: design, synthesis and evaluation of a covalent inhibitor library. ACS Comb. Sci. 2018, 20, 672–680. DOI: 10.1021/acscombsci.8b00130.
Sokolov, A.; Golovach, S.; Kozlinsky, I.; Dolia, K.; Tolmachev, A. A.; Kuchkovska, Y.; Grygorenko, O. O. Diastereoselective synthesis of cyclic sp3-enriched cis-β-alkoxysulfonyl chlorides. Synthesis 2018, 51, 848–858. DOI: 10.1055/s-0037-1611277.
Chalyk, B.; Sosedko, A.; Volochnyuk, D. M.; Tolmachev, A. A.; Gavrilenko, K.; Liashuk, O.; Grygorenko, O. O. Regioselective synthesis of isoxazole and 1,2,4-oxadiazole-derived phosphonates via [3+2] cycloaddition. Org. Biomol. Chem. 2018, 16, 9152–9164. DOI: 10.1039/C8OB02257G (Featured by a Cover picture).
Cherepakha, A. Yu.; Stepannikova, K. O.; Vashchenko, B. V.; Gorichko, M. V.; Tolmachev, A. A.; Grygorenko, O. O. Hetaryl bromides bearing SO2F group – versatile substrates for palladium-catalyzed C–C coupling reactions. Eur. J. Org. Chem. 2018, 6682–6692. DOI: 10.1002/ejoc.201801270.
Homon, A. A.; Hryshchuk, O. V.; Trofymchuk, S.; Michurin, O.; Kuchkovska, Yu.; Radchenko, D. S.; Grygorenko, O. O. Synthesis of 3‐azabicyclo[3.2.0]heptane‐derived building blocks via [3+2] cycloaddition. Eur. J. Org. Chem. 2018, 5596–5604. DOI: 10.1002/ejoc.201800972.
Chalyk, B. A.; Hrebeniuk, K, V.; Gavrilenko, K. S.; Kulik, I. B.; Rozhenko, A. B.; Volochnyuk, D. M.; Liashuk, O. S.; Grygorenko, O. O. Synthesis of 4‐hetarylisoxazoles from amino acid‐derived halogenoximes and push‐pull enamines. Eur. J. Org. Chem. 2018, 5585–5595. DOI: 10.1002/ejoc.201800753.
Nosik, P.; Ryabukhin, S. V.; Grygorenko, O. O.; Volocnyuk, D. M. Transition metal‐free gem‐difluorocyclopropanation of alkenes with CF3SiMe3 – NaI system: a recipe for electron‐deficient substrates. Adv. Synth. Catal. 2018, 360, 4104–4114. DOI: 10.1002/adsc.201801006 (Featured by a Cover picture).
Melnykov, K. P.; Granat, D. S.; Volochnyuk, D. M.; Ryabukhin, S. V.; Grygorenko, O. O. Multigram synthesis of C4/C5 3,3-difluorocyclobutyl-substituted building blocks. Synthesis 2018, 50, 4949–4957. DOI: 10.1055/s-0037-1610237.
Bondarenko, A. V.; Tolmachev, A. A.; Vashchenko, B. V.; Grygorenko, O. O. Synthesis of functionalized 1,4-dioxanes with an additional (hetero)aliphatic ring. Synthesis 2018, 50, 3696–3707. DOI: 10.1055/s-0037-1610195.
Borysko, P.; Moroz, Y. S.; Vasylchenko, O. V.; Hurmach, V. V.; Starodubtseva, A.; Stefanishena, N.; Nesteruk, K.; Zozulya, S.; Kondratov, I. S.; Grygorenko, O. O. Straightforward hit identification approach in fragment-based discovery of bromodomain-containing protein 4 (BRD4) inhibitors. Bioorg. Med. Chem. 2018, 26, 3399–3405. DOI: 10.1016/j.bmc.2018.05.010.
Mykhalchuk, V. L.; Yarmolchuk, V. S.; Doroschuk, R. O.; Tolmachev, A. A.; Grygorenko, O. O. [3+2] cycloaddition of azomethyne ylide and vinyl sulfonyl fluorides – an approach to pyrrolidine-3-sulfonyl fluorides. Eur. J. Org. Chem. 2018, 2870–2876. DOI: 10.1002/ejoc.201800521.
Chalyk, B. A.; Hrebeniuk, K. V.; Gavrilenko, K. S.; Shablykin, O. V.; Yanshyna, O. O.; Bash, D.; Mykhailiuk, P. K.; Liashuk, O. S.; Grygorenko, O. O. Synthesis of bi‐ and polyfunctional isoxazoles from amino acid‐derived halogenoximes and active methylene nitriles. Eur. J. Org. Chem. 2018, 2753–2761. DOI: 10.1002/ejoc.201800311 (Featured by a Cover picture).
Grygorenko, O. O.; Kurkunov, M.; Levandovskiy, I. A.; Tymtsunik, A. V. Synthesis of 2-azabicyclo[n.2.0]alkane-derived building blocks. Synthesis 2018, 50, 1973–1978. DOI: 10.1055/s-0037-1609434.
Grygorenko, O. O.; Demenko, D.; Volochnyuk, D. M.; Komarov, I. V. Following Ramachandran 2: exit vector plot (EVP) analysis of disubstituted saturated rings. New J. Chem. 2018, 42, 8355–8365. DOI: 10.1039/C7NJ05015A (Featured by a Cover picture).
Skalenko, Y. A.; Druzhenko, T. V.; Denisenko, A. V.; Samoilenko, M. V.; Dacenko, O. P.; Trofymchuk, S. A.; Grygorenko, O. O.; Tolmachev, A. A.; Mykhailiuk, P. K. [2+2]-photocycloaddition of N-benzylmaleimide to alkenes as an approach to functional 3-azabicyclo[3.2.0]heptanes. J. Org. Chem. 2018, 83, 6275–6289. DOI: 10.1021/acs.joc.8b00077 (Featured by a Cover picture).
Grygorenko, O. O.; Biitseva, A. V.; Zhersh, S. Amino sulfonic acids, peptidosulfonamides and other related compounds. Tetrahedron 2018, 74, 1355–1421. DOI: 10.1016/j.tet.2018.01.033.
Ivon, Y. M.; Voitenko, Z. V.; Grygorenko, O. O. 1-(Trimethylsilyl)vinyl MIDA boronate: a trifunctional C2 building block. Synthesis 2018, 50, 1857–1861. DOI: 10.1055/s-0036-1591926.
Slobodyanyuk, E. Y.; Artamonov, O. S.; Kulik, I. B.; Rusanov, E.; Volochnyuk, D. M.; Grygorenko, O. O. A bio-inspired approach to proline-derived 2,4-disubstituted oxazoles. Heterocycl. Commun. 2018, 24, 11–17. DOI: 10.1515/hc-2017-0235.
Bogolubsky, A.; Moroz, Y. S.; Savych, O.; Pipko, S.; Konovets, A.; Platonov, M. O.; Vasylchenko, O. V.; Hurmach, V. V.; Grygorenko, O. O. An old story in the parallel synthesis world: an approach to hydantoin libraries. ACS Comb. Sci. 2018, 20, 35−43. DOI: 10.1021/acscombsci.7b00163.
Kleban, I.; Tymtsunik, A. V.; Rassukana, Y. V.; Grygorenko, O. O. O-(α-Phenylethyl)hydroxylamine as a ‘chiral ammonia equivalent’: synthesis and resolution of 5-oxopyrrolidine- and 6-oxopiperidine-3-carboxylic acids. Tetrahedron: Asymmetry 2017, 28, 1817–1822. DOI: 10.1016/j.tetasy.2017.10.027.
Subota, A. I.; Volochnyuk, D. M.; Gorlova, A.; Grygorenko, O. O. Scalable synthesis and properties of 7-methyl-4-azaindole. Heterocycl. Commun. 2017, 23, 449–453. DOI: 10.1515/hc-2017-0180.
Kokhan, S. O.; Valter, Y. B.; Tymtsunik, A. V.; Komarov, I. V.; Grygorenko, O. O. Bicyclo[1.1.1]pentane-derived building blocks for click chemistry. Eur. J. Org. Chem. 2017, 6450–6456. DOI: 10.1002/ejoc.201701296.
Denisenko, A. V.; Druzhenko, T.; Skalenko, Y.; Samoilenko, M.; Grygorenko, O. O.; Zozulya, S.; Mykhailiuk, P. K. Photochemical synthesis of 3-azabicyclo[3.2.0]heptanes: advanced building blocks for drug discovery. J. Org. Chem. 2017, 82, 9627–9636. DOI: 10.1021/acs.joc.7b01678.
Nosik, P. S.; Artamonov, O. S.; Ryabukhin, S. V.; Grygorenko, O. O. An approach to 1,1-disubstituted pyrazolylcyclopropane building blocks. SynOpen 2017, 1, 84–90. DOI: 10.1055/s-0036-1588544.
Nosik, P.; Gerasov, A.; Boiko, R.; Rusanov, E.; Ryabukhin, S.; Grygorenko, O.; Volocnyuk, D. Gram-scale synthesis of amines bearing gem-difluorocyclopropane moiety. Adv. Synth. Catal. 2017, 359, 3126–3136. DOI: 10.1002/adsc.201700857 (Featured by a Cover picture).
Melnykov, K. P.; Nosik, P. S.; Kurpil’, B. B.; Sibgatulin, D. A.; Volochnyuk, D. M.; Ryabukhin, S. V.; Grygorenko, O. O. Synthesis of gem-difluorocyclopentane/hexane building blocks. J. Fluorine Chem. 2017, 199, 60–66. DOI: 10.1016/j.jfluchem.2017.04.012.
Sokolenko, Y. M.; Ostapchuk, E. N.; Artemenko, A.; Grygorenko, O. O. An approach to 3-oxa-7-azabicyclo[3.3.0]octanes – bicyclic morpholine surrogates. Synthesis 2017, 49, 3112–3117. DOI: 10.1055/s-0036-1588785 (Featured by a Cover picture).
Subota, A. I.; Artamonov, O. S.; Gorlova, A.; Volochnyuk, D. M.; Grygorenko, O. O. Approach to 5-substituted 6,7,8,9-tetrahydro-5H-pyrido[3,2-c]azepines. Tetrahedron Lett. 2017, 58, 1989–1991. DOI: 10.1016/j.tetlet.2017.04.030.
Adamovskyi, M. I.; Ryabukhin, S. V.; Sibgatulin, D. A.; Rusanov, E.; Grygorenko, O. O. Beyond the five and six: evaluation of seven-membered cyclic anhydrides in the Castagnoli–Cushman reaction. Org. Lett. 2017, 19, 130–133. DOI: 10.1021/acs.orglett.6b03426.
Nosik, P. S.; Ryabukhin, S. V.; Artamonov, O. S.; Grygorenko, O. O. Synthesis of trans-disubstituted pyrazolylcyclopropane building blocks. Monatch. Chem. 2016, 147, 1629–1636. DOI: 10.1007/s00706-016-1726-6.
Tymtsunik, A. V.; Kokhan, S. O.; Ivon, Y. M.; Komarov, I. V.; Grygorenko, O. O. Intramolecular functional group differentiation as a strategy for the synthesis of bridged bicyclic β-amino acids. RSC Adv. 2016, 6, 22737– 22748. DOI: 10.1039/C6RA01548D
Grygorenko, O. O.; Babenko, P.; Volochnyuk, D. M.; Raievskyi, O.; Komarov, I. V. Following Ramachandran: exit vector plots (EVP) as a tool to navigate chemical space covered by 3D bifunctional scaffolds. The case of cycloalkanes. RSC Adv. 2016, 6, 17595–17605. DOI: 10.1039/C5RA19958A
Artamonov, O. S.; Bulda, T.; Fam, T. K.; Slobodyanyuk, E. Y.; Volochnyuk, D. M.; Grygorenko, O. O. A stereolibrary of conformationally restricted amino acids based on pyrrolidinyl/piperidinyloxazole motifs. Heterocycl. Commun. 2015, 21, 391–395. DOI: 10.1515/hc-2015-0137.
Tymtsunik, A. V.; Ivon, Y. M.; Komarov, I. V.; Grygorenko, O. O. Synthesis of racemic and enantiopure 3,4-methanonipecotic acid. Tetrahedron: Asymmetry 2015, 26, 1268–1272. DOI: 10.1016/j.tetasy.2015.09.015.
Ivonin, S. P.; Kurpil’, B. B.; Volochnyuk, D. M.; Grygorenko, O. O. Regioselective synthesis of pyrazoles fused with heteroaliphatic amines at the [3,4-c] edges. Tetrahedron Lett. 2015, 56, 6248–6250. DOI: 10.1016/j.tetlet.2015.09.108.
Grygorenko, O. O. Bicyclic β-amino acids. Tetrahedron 2015, 71, 5169–5216. DOI: 10.1016/j.tet.2015.05.069.
Ivonin, S. P.; Kurpil’, B. B.; Bezdudny, A. V.; Volochnyuk, D. M.; Grygorenko, O. O. An approach to (4-fluoroalkyl-1-alkyl-1H-pyrazol-3-yl)methylamines. J. Fluorine Chem. 2015, 176, 78–81. DOI: 10.1016/j.jfluchem.2015.06.003.
Chernykh, A. V.; Radchenko, D. S.; Grygorenko, O. O.; Daniliuc, C. G.; Volochnyuk, D. M.; Komarov, I. V. Synthesis and structural analysis of angular monoprotected diamines based on spiro[3.3]heptane scaffold. J. Org. Chem. 2015, 80, 3974–3981. DOI: 10.1021/acs.joc.5b00323.
Ivon, Y. M.; Tymtsunik, A. V.; Komarov, I. V.; Shishkin, O. V.; Grygorenko, O. O. Synthesis of a 2,5-diazabicyclo[2.2.1]heptane-derived α,β-diamino acid. Synthesis 2015, 47, 1123–1130. DOI: 10.1055/s-0034-1380116 (Featured by a Cover picture).
Subota, A. I.; Grygorenko, O. O.; Valter, Y. B.; Tairov, M. A.; Artamonov, O. S.; Volochnyuk, D. M.; Ryabukhin, S. V. Approach to 3-(cyclo)alkylpiperidines through ‘sp3–sp3 via sp2–sp3’ coupling. Synlett 2015, 26, 408–411. DOI: 10.1055/s-0034-1379502.
Ivonin, S. P.; Kurpil’, B. B.; Grygorenko, O. O.; Volochnyuk, D. M. Reaction of hydrazones derived from electron-deficient ketones with Vilsmeier-Haack reagent. Heterocycl. Commun. 2014, 20, 351–354. DOI: 10.1515/hc-2014-0176.
Ryabukhin, S. V.; Fominova, K. I.; Sibgatulin, D. A.; Grygorenko, O. O. Synthesis of three-dimensional fused and spirocyclic oxygen-containing cyclobutanone derivatives. Tetrahedron Lett. 2014, 55, 7240–7242. DOI: 10.1016/j.tetlet.2014.11.050.
Ivonin, S. P.; Kurpil’, B. B.; Grygorenko, O. O.; Volochnyuk, D. M. Reaction of hydrazones derived from active methylene compounds with Vilsmeier–Haack reagent. Monatsh. Chem. 2014, 145, 2011–2017. DOI: 10.1007/s00706-014-1293-7.
Гранат, Д. C.; Бійцева, А. В.; Григоренко, О. О.; Рябухін, С. В. Синтез конденсованих похідних піримідину з використанням NCNCC+C підходу. Журн. Орг. Фарм. Хім. 2014, 12(3), 3–16. DOI: 10.24959/ophcj.14.804.
Adamovskyi, M. I.; Artamonov, O. S.; Tymtsunik, A. V.; Grygorenko, O. O. The synthesis of a 2-azabicyclo[3.1.0]hexane by rearrangement of a spirocyclic epoxide. Tetrahedron Lett. 2014, 55, 5970–5972. DOI: 10.1016/j.tetlet.2014.09.020.
Tymtsunik, A. V.; Ivon, Y. M.; Komarov, I. V.; Grygorenko, O. O. Synthesis of Boc-protected 4,5-methano-β-proline. Tetrahedron Lett. 2014, 55, 3312–3315. DOI: 10.1016/j.tetlet.2014.04.038.
Ivonin, S. P.; Kurpil’, B. B.; Rusanov, E. B.; Grygorenko, O. O.; Volochnyuk, D. M. N-Alkylhydrazones of aliphatic ketones in the synthesis of 1,3,4-trisubstituted non-symmetric pyrazoles. Tetrahedron Lett. 2014, 55, 2187–2189. DOI: 10.1016/j.tetlet.2014.02.058.
Ryabukhin, S. V.; Panov, D. M.; Granat, D. S.; Ostapchuk, E. N.; Kryvoruchko, D. V.; Grygorenko, O. O. Toward lead-oriented synthesis: one-pot version of Castagnoli condensation with nonactivated alicyclic anhydrides. ACS Comb. Sci. 2014, 16, 146−153. DOI: 10.1021/co4001277.
Chernykh, A. V.; Radchenko, D. S.; Grygorenko, O. O.; Volochnyuk, D. M.; Shishkina, S. V.; Shishkin, O. V.; Komarov, I. V. Conformationally restricted glutamic acid analogues: stereoisomers of 1-aminospiro[3.3]heptane-1,6-dicarboxylic acid. RSC Adv. 2014, 4, 10894–10902. DOI: 10.1039/C3RA47725H.
Grygorenko, O. O.; Zhersh, S.; Oliinyk, B. V.; Shishkin, O. V.; Tolmachev, A. A. Conformational behavior of peptides containing residues of 3-azetidinesulfonic (3AzeS) and 4-piperidinemethanesulfonic (4PiMS) acids. Tetrahedron: Asymmetry 2014, 25, 229–237. DOI: 10.1016/j.tetasy.2013.12.001.
Tymtsunik, A. V.; Bilenko, V. A.; Grygorenko, O. O.; Komarov, I. V. Gram-scale synthesis of 3,5-methanonipecotic acid, a nonchiral bicyclic β-amino acid. Synlett 2014; 25, 355–358. DOI: 10.1055/s-0033-1340322.
List, B.; Čorić, I.; Grygorenko, O. O.; Kaib, P. S. J.; Komarov, I.; Lee, A.; Leutzsch, M.; Chandra Pan, S.; Tymtsunik, A. V.; van Gemmeren, M. The catalytic asymmetric α-benzylation of aldehydes. Angew. Chem. Int. Ed. 2014, 53, 282–285. DOI: 10.1002/anie.201306037.
Zhersh, S.; Karpenko, O. V.; Ripenko, V.; Tolmachev, A. A.; Grygorenko, O. O. Synthesis of 1-(pyrrolidin-2-ylmethyl)-1H-azoles and their piperidine-derived homologues. Centr. Eur. J. Chem. 2014, 12, 67–73. DOI: 10.2478/s11532-013-0344-y.
Ostapchuk E. N.; Plaskon A. S.; Grygorenko, O. O.; Tolmachev, A. A.; Ryabukhin, S. V. Protecting group free synthesis of carboxyl-substituted dihydropyrimidines through Biginelli reaction. J. Heterocycl. Chem. 2013, 50, 1299–1303. DOI: 10.1002/jhet.1568.
Moriev, R.; Vasylchenko, O.; Platonov, M.; Grygorenko, O.; Volkova K.; Zozulya, S. Identification of novel IGF1R kinase inhibitors by molecular modeling and high-throughput screening. Acta Naturae 2013, 5(2), 90–101.
Borisov, A. V.; Voloshchuk, V. V.; Nechayev, M. A.; Grygorenko, O. O. 5,6,7,8-Tetrahydropyrido[4,3-c]pyridazine: a lead-oriented scaffold with two diversity points. Synthesis 2013, 45, 2413–2416. DOI: 10.1055/s-0033-1339325.
Yaremenko, A. G.; Volochnyuk, D. M.; Shelyakin, V. V.; Grygorenko, O. O. Tetrahydropyrido[d]pyridazinones – promising scaffolds for drug discovery. Tetrahedron 2013, 69, 6799–6803. DOI: 10.1016/j.tet.2013.06.029.
Yaremenko, A. G.; Shelyakin, V. V.; Volochnyuk, D. M.; Rusanov, E. B.; Grygorenko, O. O. An approach to dihydroisoindolobenzodiazepinones—three-dimensional molecular frameworks. Tetrahedron Lett. 2013, 54, 1195–1197. DOI: 10.1016/j.tetlet.2012.12.065.
Grygorenko, O. O.; Zhersh, S.; Oliinyk, B. V.; Shishkin, O. V.; Tolmachev, A. A. Conformational behaviour of peptides containing the 2-pyrrolidinemethanesulfonic acid residue (2PyMS). Org. Biomol. Chem. 2013, 11, 975–983. DOI: 10.1039/c2ob27058g.
Radchenko, D. S.; Michurin, O. M.; Grygorenko, O. O.; Scheinpflug, K.; Dathe, M.; Komarov, I. V. Confining the χ space of basic natural amino acids: cyclobutane-derived χ1,χ2-constrained analogues of arginine, lysine and ornithine. Tetrahedron 2013, 69, 505–511. DOI: 10.1016/j.tet.2012.11.032.
Ryabukhin, S. V.; Panov, D. M.; Plaskon, A. S.; Grygorenko, O. O. Approach to the library of 3-hydroxy-1,5-dihydro-2H-pyrrol-2-ones through a three-component condensation. ACS Comb. Sci. 2012, 14, 631–635. DOI: 10.1021/co300082t.
Ryabukhin, S. V.; Naumchik, V. S.; Grygorenko, O. O.; Tolmachev, A. A. Chlorotrimethylsilane-promoted condensation of ketones and aminoazoles. J. Heterocycl. Chem. 2012, 49, 1147–1150. DOI: 10.1002/jhet.972.
Grygorenko, O. O.; Prytulyak, R.; Volochnyuk, D. M.; Kudrya, V.; Khavryuchenko, O. V.; Komarov, I. V. Focused enumeration and assessing the structural diversity of scaffold libraries: conformationally restricted bicyclic secondary diamines. Mol. Divers. 2012, 16, 477–487. DOI: 10.1007/s11030-012-9381-2.
Liubchak, K.; Tolmachev, A. A.; Grygorenko, O. O.; Nazarenko, K. G. An approach to alicyclic ring-fused xanthines. Tetrahedron 2012, 68, 8564–8571. DOI: 10.1016/j.tet.2012.08.014.
Mityuk, A. P.; Denisenko, A. V.; Grygorenko, O. O.; Tolmachev, A. A. Synthesis of dihydro-2H-pyran-3(4H)-one. Arkivoc 2012, 226–230. DOI: 10.3998/ark.5550190.0013.820.
Shevchuk, N. V.; Liubchak, K., Nazarenko, K. G.; Yurchenko, A. A.; Volochnyuk, D. M.; Grygorenko, O. O.; Tolmachev, A. A. A convenient synthesis of (1H-azol-1-yl)piperidines. Synthesis 2012, 44, 2041–2048. DOI: 10.1055/s-0031-1291126.
Tymtsunik, A. V.; Bilenko, V. A.; Ivon, Ye. M.; Grygorenko, O. O.; Komarov, I. V. Synthesis of a novel Boc-protected cyclopropane-modified proline analogue. Tetrahedron Lett. 2012, 53, 3847–3849. DOI: 10.1016/j.tetlet.2012.05.020.
Plaskon, A. S.; Grygorenko, O. O.; Ryabukhin, S. V. Recyclizations of 3-formylchromones with binucleophiles. Tetrahedron 2012, 68, 2743–2757. DOI: 10.1016/j.tet.2012.01.077.
Tymtsunik, A. V.; Bilenko, V. A.; Kokhan, S. O.; Grygorenko, O. O.; Volochnyuk, D. M.; Komarov, I. V. 1-Alkyl-5-((di)alkylamino) tetrazoles: building blocks for peptide surrogates. J. Org. Chem. 2012, 77, 1174–1180. DOI: 10.1021/jo2022235.
Zhersh, S., Buryanov, V. V., Karpenko, O. V., Grygorenko, O. O., Tolmachev, A. A. A library of conformationally restricted saturated heterocyclic sulfonyl chlorides. Synthesis 2011, 3669–3674. DOI: 10.1055/s-0030-1260223.
Grygorenko, O. O.; Radchenko, D. S.; Volochnyuk, D. M.; Tolmachev, A. A.; Komarov, I. V. Bicyclic conformationally restricted diamines. Chem. Rev. 2011, 111, 5506–5568. DOI: 10.1021/cr100352k.
Ryabukhin, S. V.; Naumchik, V. S.; Plaskon, A. S.; Grygorenko, O. O.; Tolmachev, A. A. Synthesis of 3-haloquinolines via the Friedländer reaction. Synfacts 2011, 949. DOI: 10.1055/s-0030-1260991.
Yarmolchuk, V. S., Mukan, I. L., Grygorenko, O. O., Tolmachev, A. A., Shishkina, S. V.; Shishkin, O. V., Komarov, I. V. An entry into hexahydro-2H-thieno[2,3-c]pyrrole 1,1-dioxide derivatives. J. Org. Chem. 2011, 76, 7010–7016. DOI: 10.1021/jo200878t.
Ryabukhin, S. V.; Naumchik, V. S.; Plaskon, A. S.; Grygorenko, O. O.; Tolmachev, A. A. 3-Haloquinolines by Friedländer reaction of α-haloketones. J. Org. Chem. 2011, 76, 5774–5781. DOI: 10.1021/jo2008252.
Radchenko, D. S.; Tkachenko, A.; Grygorenko, O. O.; Komarov, I. V. Expedient synthesis of cis– and trans-3-aminocyclobutanecarboxylic acids. Synth. Commun. 2011, 41, 1644–1649. DOI: 10.1080/00397911.2010.491595.
Levterov, V.; Grygorenko, O. O.; Mykhailiuk, P. K.; Tolmachev, A. A. Multigram synthesis of 1-(difluoromethyl)imidazoles and -benzimidazoles. Synthesis 2011, 1243–1248. DOI: 10.1055/s-0030-1258470.
Dacenko, O. P.; Manoylenko, O. V.; Grygorenko, O. O.; Mykhailiuk, P. K.; Volochnyuk, D. M.; Shishkin, O. V.; Tolmachev, A. A. Improved synthesis of monoprotected 5- and 6-amino-2-azanorbornanes. Synth. Commun. 2011, 41, 981–992. DOI: 10.1080/00397911003707196.
Grygorenko, O. O.; Artamonov, O. S.; Komarov, I. V. Mykhailiuk, P. K. Trifluoromethyl-substituted cyclopropanes. Tetrahedron 2011, 67, 803–823. DOI: 10.1016/j.tet.2010.11.068.
Kopylova, N. A.; Grygorenko, O. O.; Komarov, I. V.; Groth, U. Synthesis of enantiopure (R,R)- and (S,S)-cis-2,3-propanoprolines. Tetrahedron: Asymmetry 2010, 21, 2868–2871. DOI: 10.1016/j.tetasy.2010.11.017.
Denisenko, A. V.; Mityuk, A. P.; Grygorenko, O. O.; Volochnyuk, D. M.; Shishkin, O. V.; Tolmachev, A. A.; Mykhailiuk, P. K. 3-Benzyl-3-azabicyclo[3.1.1]heptan-6-one: a promising building block for medicinal chemistry. Org. Lett. 2010, 12, 4372–4375. DOI: 10.1021/ol101866x.
Radchenko, D. S.; Pavlenko, S. O.; Grygorenko, O. O.; Volochnyuk, D. M.; Shishkina, S. V.; Shishkin, O. V.; Komarov, I. V. Cyclobutane-derived diamines: synthesis and molecular structure. J. Org. Chem. 2010, 75, 5941–5952. DOI: 10.1021/jo101271h.
Volochnyuk, D. M.; Ryabukhin, S. V.; Plaskon, A. S.; Dmytriv, Y. V.; Grygorenko, O. O.; Mykhailiuk, P. K.; Krotko, D. G.; Pushechnikov, A.; Tolmachev, A. A. Approach to the library of fused pyridine-4-carboxylic acids by Combes-type reaction of acyl pyruvates and electron-rich amino heterocycles. J. Comb. Chem. 2010, 12(4), 510–517. DOI: 10.1021/cc100040q.
Ryabukhin, S. V.; Plaskon, A. S.; Bondarenko, S. S.; Ostapchuk, E. N.; Grygorenko, O. O.; Shishkin, O. V.; Tolmachev, A. A. Acyl pyruvates as synthons in the Biginelli reaction Tetrahedron Lett. 2010, 51, 4229–4232. DOI: 10.1016/j.tetlet.2010.06.032.
Radchenko, D. S.; Grygorenko, O. O.; Komarov, I. V. Synthesis of 2-azaspiro[3.3]heptane-derived amino acids: ornitine and GABA analogues. Amino Acids 2010, 39, 515–521. DOI: 10.1007/s00726-009-0467-9.
Zamkova, I. A.; Chekotylo, O. O.; Geraschenko, O. V.; Grygorenko, O. O., Mykhailiuk, P. K.; Tolmachev, A. A. Imidazo[1,2]hetarylglyoxylates: synthesis and reactivity towards nucleophiles. Synthesis 2010, 1692–1696. DOI: 10.1055/s-0029-1218739.
Mityuk, A. P.; Denisenko, A. V.; Dacenko, O. P.; Grygorenko, O. O.; Mykhailiuk, P. K.; Volochnyuk, D. M.; Tolmachev, A. A. Synthesis of bridged 1,4-diazepane derivatives via Schmidt reactions. Tetrahedron Lett. 2010, 51, 1790–1792. DOI: 10.1016/j.tetlet.2010.01.121.
Mityuk, A. P.; Denisenko, A. V.; Dacenko, O. P.; Grygorenko, O. O.; Mykhailiuk, P. K.; Volochnyuk, D. M.; Shishkin, O. V.; Tolmachev, A. A. An approach to azabicyclo[n.3.1]alkanes by double Mannich reaction. Synthesis 2010, 493–497. DOI: 10.1055/s-0029-1217137.
Tkachenko, A. N.; Radchenko, D. S.; Mykhailiuk, P. K.; Grygorenko, O. O.; Komarov, I. V. 4-Fluoro-2,4-methanoproline. Org. Lett. 2009, 11, 5674–5676. DOI: 10.1021/ol902381w.
Volochnyuk, D. M.; Ryabukhin, S. V.; Plaskon, A. S.; Grygorenko, O. O. Organosilicon compounds as water scavengers in reactions of carbonyl compounds. Synthesis 2009, 3719–3743. DOI: 10.1055/s-0029-1217066.
Radchenko, D. S.; Kopylova, N. A.; Grygorenko, O. O.; Komarov, I. V. Conformationally restricted nonchiral pipecolic acid analogues. J. Org. Chem. 2009, 74(15), 5541–5544. DOI: 10.1021/jo900842w.
Grygorenko, O. O.; Komarov, I. V.; Cativiela, C. A novel approach to 2,4-ethanoproline. Tetrahedron: Asymmetry 2009, 20, 1433–1436. DOI: 10.1016/j.tetasy.2009.05.003.
Radchenko, D. S.; Grygorenko, O. O.; Komarov, I. V. Synthesis of conformationally restricted glutamic acid analogs based on the spiro[3.3]heptane scaffold. Tetrahedron: Asymmetry 2008, 19, 2924–2930. DOI: 10.1016/j.tetasy.2008.12.016.
Grygorenko, O. O.; Kopylova, N. A.; Mikhailiuk, P. K.; Meißner, A.; Komarov, I. V. An approach to 2-cyanopyrrolidines bearing a chiral auxiliary. Tetrahedron: Asymmetry 2007, 18, 290–297. DOI: 10.1016/j.tetasy.2007.01.008.
Komarov, I. V.; Grygorenko, O. O.; Radchenko, D. S.; Artamonov, O. S.; Kostyuk, A. N.; Tolmachev, A. A. Libraries of conformationally restricted and rigid amino acids. Chem. Today 2006, 24(4), 22–23.
Grygorenko, O. O.; Artamonov, O. S.; Palamarchuk, G. V.; Zubatyuk, R. I.; Shishkin, O. V.; Komarov, I. V. Stereoselective synthesis of 2,4-methanoproline homologues. Tetrahedron: Asymmetry, 2006, 17, 252–258. DOI: 10.1016/j.tetasy.2005.12.009.
Komarov, I. V.; Grigorenko, A. O.; Turov, A. V.; Khilya, V. P. Conformationally rigid cyclic α-amino acids in the design of peptidomimetics, peptide models and biologically active compounds. Russ. Chem. Rev., 2004, 73, 785–810. DOI: 10.1070/RC2004v073n08ABEH000912.
Komarov, I. V.; Gorichko, M. V.; Grygorenko, O. O. A chiral tricyclic proline analogue obtained from camphor. Tetrahedron Lett. 2002, 43, 9411–9412. DOI: 10.1016/S0040-4039(02)02325-0.
